对超声波气体流量检测主流方法( Z 型时差法、V 型时差法和平行相关法) 的优缺点进行了分析,提出了一种 λ 型互相关时差法超声波流量检测方法。该方法采用两对换能器,一对垂直中轴线安装,另一对与中轴线成 θ 角安装。同侧换能器同时在相同介质中发射相同波形,传播不同行程后查找互相关性,计算相对时差,根据顺流和逆流时差计算流速和流量。试验表明,λ 型检测方法的示值相对误差小于 0. 05% ,是一种精度高、简单、实用的超声波流量检测方法。
0.引言
超声波气体流量计的起源可以追溯到 20 世纪70 年代,其凭借准确度高、重复性好、无可动部件、本体无压损和适合于大口径、大流量计量等优点异军突起。在工业应用中较为广泛的超声波气体流量主流检测方法分别是 Z 型时差法、V 型时差法和平行相关法。。Z 型时差法的优点 是具有信号检测功能、安装简单等; 缺点是测量对象是绝对时间,电路延时、接收波形判决、杂质、环境干扰和电磁辐射等因素都会影响测量精度。V 型时差法具有单侧安装、行程长等优点; 但具有要求管壁内侧光滑、信号衰减大、管道壁厚形成偏差等缺点。平行相关法 的优点是不受电路延时、相同干扰的影响; 缺点是接收端对信号幅度敏感、工作持续时间长、功耗大。针对这三种主要的测量方法,提出了一种结合三种方法优点的 λ 型互相关时差法。
1.λ 型理论模型
1. 1 λ 型安装模型
在过管道中轴线的同一平面( 实际上 AB 和 CD 两条中心连线只需要和管道中轴线相交,可以不在同一平面上) ,共安装有 4 只收发一体超声波换能器,管道剖面图如图 1 所示。两对超声波换能器安装形状如字母“λ”,A、B 为一对,C、D 为一对。A、B 分别垂直于各自管壁,AB 中心连线交叉且垂直于管道中轴线安装,C、D 分别与管壁成 θ 角。AC 中心距为 d1 ,BD 中心距为 d2 ,CD 中心连线与管道中轴线交叉且成 θ 角( 0° <θ < 180°且 θ≠90°) 安装。

1.2. 2 λ 型基本理论分析
假设该管段的前后直管段长度足够,满足流场充分发展管道 的条件,流速方向和管道中心轴线方向平行。
1. 2. 1 AB 线垂直于流速方向
A、B 分别垂直于各自管壁,AB 中心连线交叉且垂直于管道中轴线安装。气体在充分发展管道中流动时,流速方向和管道中轴线平行,因此流速方向和换能器 AB 的中心连线相交且垂直,流速v与 AB 连线上超声波传播速度v超 ( 无论是 A→B 还是 B→A 传播方向)满足矢量正交条件。
1. 2. 2 超声波传播速度一致
AC 中心距为 d1 ,BD 中心距为 d2 ,d1 和 d2 数值较小。 AB 和 CD 中心连线在同一段管道内并且距离近,介质、温度、流场等条件基本一致。抽象出理论模型时,可以认为超声波在 AB 和 CD 中心线上传播速度保持一致。
1. 2. 3 正向逆向传播距离不变
在圆形管道或其他呈现中心对称形状的管道充分发展流中,横截面上的流场分布呈现中心对称的规律。换能器 AB 和 CD 中心连线无论是正向传播 ( A →B、 C→D) 还是逆向传播( B→A、D→C) ,经过流场时的特性相同,正向和逆向传播距离保持不变。
2.λ 型检测法
2. 1 互相关法检测时差
发射信号 s( t) 经过不同的传播途径 L1 和 L2 到达接收端,分别形成接收信号 R1 ( t) 和 R2 ( t) ,在有效的时间区间[t0 ,t0 + T]内,对 R1 和 R2 进行互相关运算。

2. 2 互相关法检测顺流时差
如图 1 所示,换能器 A 和 C 作为发射端,换能器 B和 D 作为接收端。超声波在管道内传播速度为 c,管道直径为 D,换能器 CD 中心线长度为 L,它和管道中轴线夹角为 θ,管道中气体流速为 v。超声波沿 A→B和 C→D 两种不同途径传播时,A→B 的传播方向和管道内气体流速方向垂直,气体流动速度在 AB 中心线上无正交分量,超声波在 A→B 的传播时间为 Dc ; C→
D 的传播方向和管道内气体流速方向夹角为 θ,气体流动速度在 CD 中心线上分解分量为 vcosθ,超声波传播方向为顺流方向,在 C→D 的传播方向上合成速度

2. 3 互相关法检测逆流时差
如图 1 所示,换能器 B 和 D 作为发射端,换能器 A和 C 作为接收端。超声波传播途径 B→A 和 D→C,与顺流不同的情况是,D→C 超声波传播方向为逆流方向,在 D→C 的传播方向上合成速度为 c - vcosθ; 超声波在 D→C 的传播时间为

2. 4 λ 型检测方法
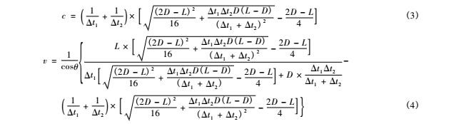
经过以上分析,管道流速 v = f( D,L,θ,c, t1 , t2 ) 是 AB 中心线长度( 管道直径) D、CD 中心线长度 L、CD中心线与管道中轴线夹角 θ、超声波在管道中的传播速度 c、顺流时传播时差 t1 和逆流时传播时差 t2 的函数。D、L、θ 三个参数都和管道自身、超声波换能器安装有关,在安装工艺环节控制; t1 、 t2 是实际测量获得; c 受介质、温度的影响较大,需要温度等因素进行修正和补偿,会影响测量效果,根据顺流和逆流两种情况得到的函数关系式,可以消除 c 这个因素。由式 ( 1) 和式( 2) 联立求解,介质中超声波传播速度 c 如式 ( 3) 所示,管道中气体流速如式( 4) 所示。


3.λ 型检测方法优缺点
3. 1 消除介质和环境因素影响
型检测法采用相同波形同时在相同介质中传播不同行程,查找接收信号的互相关性。虽然信号在传输过程中会受介质和环境因素影响发生畸变,但两路信号在相同的介质和环境中发生畸变的情况相似。保持彼此间的相似性,接收端的最大互相关检测就不受影响。
3. 2 降低接收端判决要求
平行安装法的接收端互相关检测是在持续波形中找到介质随机调制的相似性,信号幅度变化是个敏感量,判决要求高。对于 λ 型检测法,接收信号是一个时限信号,只需要在接收端检测有信号时两者互相关的最大值即可,同时还可以调节安装角度 θ,增大行程差,增加接收信号的时差,降低接收判决的困难程度。
3. 3 避免测量绝对时间
超声波信号的“拖尾”现象,决定了接收端是一个持续一定时长的多周期信号,能否准确定位接收信号的接收时刻会影响测量的绝对时间。同时,超声波换能器的压电转换惯性迟滞和电路延时也会影响超声波
传播绝对时间的测量。
λ 型检测法采用相同的超声波换能器、相同的发射信号、相同的管段、相同的介质和不同的行程,用最大互相关法检测两种情况下的相对时差。一方面测量相对时差消除了超声波换能器和电路固有时延的影响; 另一方面接收端直接计算两个接收信号的互相关最大值,不需要准确定位某个接收信号到达的绝对时刻,减少了测量传播时间的影响因素。
3. 4 避免反射衰减
对于 V 型互相关检测法,其采用超声波反射方式,依赖于流量管道内壁的反射系数,并且行程长、衰减大。λ 型检测法采用对射技术,对流量管道内壁的反射系数没有要求,行程短、衰减小。
3. 5 增加硬件成本
相比 Z 型时差法和 V 型互相关超声波流量检测方式只用一对超声波换能器,λ 型检测法采用两对超声波换能器,在硬件上需要增加一对超声波换能器。
相比 Z 型时差法直接判决接收信号的到达时刻,λ 型检测法接收端采用高速数据采样进行最大互相关检测,硬件成本也会增加。
3. 6 增加软件复杂度
λ 型检测法接收信号进行互相关检测时,不同管径、不同流速和不同精度对互相关算法数据量的多少和处理要求都不一样,整体比 Z 型时差法、V 型和平行安装的互相关检测法复杂程度要高。
4.实验验证
在两条滑轨的夹具上固定 2 对相同型号的超声波换能器,放置到风洞中,改变流速和换能器之间的距离,用实时采样速率为 200 MS /s 的泰克示波器( 型号:TDS2022B) 测试接收端波形时差,数据如表 1 所示。
由表 1 可知,在最严酷的小管径低流速测试条件下,计算结果误差小于示值的 0. 05% ,完全可以满足超声波气体流量计相关标准要求 。


5.结束语
本文分析了超声波气体流量主流检测方法 Z 型时差法、V 型反射和平行安装互相关检测法的优点和缺点,并针对各自的缺点,结合它们的优点,提出了一种全新的 λ 型检测法。λ 型检测法采用两对超声波换能器成 λ 型安装,采用对射方式。接收端判决采用最大互相关算法测量顺流和逆流相对时差,避免了反射方式信号衰减大、测量绝对时间影响因素多、接收信号持续存在检测调制相关性要求高等问题。最后经过实验验证,λ 型检测法是一种测量精度高、简单、实用的超声波气体流量计检测方法。