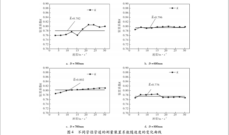
应用 Fluent 数值模拟软件对 M 型流量计在圆管中的性能进行数值模拟研究。仿真结果表明:M 型流量计作为一种新型的差压式流量计,其测量装置系数 K 的线性度良好,在所计算的 4 种工况条件下均有良好的稳定性。
目前,流量测量技术在工业领域中得到了广泛应用。但在非标准流量计的研究中,由于管道或工况复杂,急需一种测量精度高、仪表系数线性度稳定的流量计,因此 M 型差压式流量计作为一种在稳定性及测量精度等方面表现良好的流量计,成为了应用极为广泛的流量计之一。在此,笔者建立了 M 型流量计的数学模型,仿真计算了不同管径管道下 M 型流量计的各压力参数,研究其在复杂管道中的应用情况和稳定性,以提高 M 型流量计在实际管道应用中的防堵塞性能。
1.几何结构
M 型流量计属于差压式流量计的一种。对于差压式流量计,节流件的选取直接影响流量计的性能 。M 型流量计主要由迎流面和背流面两组取压管道组成( 图 1) 。在装置的上游产生高压区,下游产生负压区,从而产生稳定的压差。

2.数值模拟计算
计算介质采用可压缩空气,应用 Gambit 软件对几何模型进行网格划分,使用基于有限体积方法的 Fluent 软件进行计算。利用 Fluent 数值仿真指导流量计的设计与优化已经成为研究流量仪表的一种很好的方法 。计算所采取的湍流模型为标准 k-ε 模型,采用 Simple 算法对压力和速度进行耦合,同时,为了更加贴近实际工况,考虑了粘度及密度等物性的变化。
2. 1 数学模型
2. 1. 1 主要控制方程

2. 1. 2 湍流模型
标准 k-ε 湍流模型的鲁棒性非常好,适用于一般情况下的流场模拟,是应用最广泛的湍流模型之一,其包括了涡粘度系数、湍动能及其耗散率等因素,对湍流的长度、尺度和湍流速度进行计算求解,是涡粘性发展起来的最简单和完备的二方程模型 。
湍动能 k 和耗散率 ε 的输运方程为:







3.结束语
采用 Fluent 数值模拟软件对 M 型流量计进行计算分析,得出不同管道管径下流量计的性能参数和速度分布,随着速度的增加,压差增加,性能更加稳定。仿真结果表明: M 型流量计在所计算的几种工况条件下均有良好的性能,测量装置系数K线性度较好,其随管径的变化有所变化,但幅度不大,满足工程应用要求。后续需对管道内不同介质的流动状态进行数值模拟分析,以使其更具有应用普遍性。