容积式流量计的计量原理是利用机械测量的元件把液体连续地分隔成单位体积然后进行累加计算总量而实现流体的计量。容积式流量计与我们日常生活中使用容器计量液体的体积的原理是一样的,不同的地方是在工业测量的时候,需要在流体管道中连续不断地测量流体的体积。容积式流量计的工作过程如下:流体持续地充满固定容积的计量仪器,然后将这部分流体持续的通道出口。在一次测量的过程中,我们通过记录这个过程持续的次数,然后再乘以计量仪器的容积,就得到了流过的液体的总量。
引言
容积式流量测量的方法,是具有很长历史的测量方法。它利用测量元件,把流经仪表内的流体,分隔为单个的固定容积部分,并连续不断地排出。其测量原理类似于一种标准容积的容器,连续地对流体流动的介质,进行固定容积的测量和计算。所以,容积式流量计是一种采用容积累加方法进行流体流量测量的仪表。
1 .容积式流量计的工作原理和结构
容积式流量计是利用机械测量元件把流体连续不断地分隔成单位体积并进行累加计量出总体积而实现流体计量它与日常生活中用容器来计量液体体积的方式有点类似,所,不同的是在工业应用时,需要在管道中连续地测量流体体积。它的工作过程是:流体不断地充满具有一定容积的某“计量空间”,然后再连续地将这部分流体送到出口流出,在一次测量中,将这些“计量空间”被流体充满的次数不断累加,乘以“计量空间”的体积,就可以得到通过流量计的流量总量。容积式流量测量是采用固定的小容积来反复计量通过流量计的流体体积。所以,在容积式流量计内部必须具有构成一个标准体积的空间,通常称其为容积式流量计的“计量空间”或“计量室”。这个空间由仪表壳的内壁和流量计转动部件一起构成。
2 .漏流引起的测量误差、
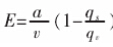
我们首先从容积式流量计的结构出发,由于该流量计的计量空间是机械装置组合而成的,每一个部件都是运动的,这就导致部件之间存在间隙。因此,就会导致漏流。流量计的误差计算公式如下:

式中:E 为容积式流量计的误差;V 为流量计的液体体积;a 为齿轮比;Δg 为漏流量;q 为检测时的流量。从上式我们可以看出,齿数比为定值,故流量计的误差受到单位时间内的漏流量的影响。因此,研究漏流的影响对提高容积式流量计的准确度具有重要的意义。当系统压力很小时,其流量计的漏流量在流过流量计的流量中所占的比重比较大,所以流量计的误差也比较大。当系统压力增加时,流过流量计的流量也增大,但由于流量计漏流阻力的增加速率大于总的阻力增加速率,所以流量计的漏流量在流过流量计的流量中所占的比重减小,流量计的误差也随之减小了,当系统压力很大时,其流量计的漏流网量远远小于流过流量计的流量,所以由流量计漏流量所引起的流量计误差也很小,与流量计的随机误差和理想误差相比可以忽略。
3. 液体容积式流量计漏失量大小的影响因素
3.1 机械磨损是影响液体容积式流量计漏失量大小的重要因素之一
主要是因为液体容积式流量计投入使用之后,若经过一段时间,转子与计量空间磨合后的间隙合适,漏失量较小,而误差就会较小,但是随着使用年限的增加,转子与计量空间出现磨损,就会增大转子与计量空间的间隙,从而增大漏失量,最终增大误差。因此,必须加强对其的检查,尤其是频繁使用的液体容积式流量计,必须加大流量计比对和期间核查的力度,发现问题后应及时更换磨损严重的转子,进而恢复其功能,进行高效的测量。
3.2 压差也是影响液体容积式流量计漏失量大小的重要因素之一
若流量计的进出口存在的压差较小,那么就会降低转子转动速度,流体就会在重力作用下增加流动速度,导致漏失量增大,同时误差也相应的增大。若流量计的进出口的压差较大,那么就会增大转子的回转力矩,提高转子转动速度,流体就会在惯性作用下加大流动速度,从而导致漏失量变大,最终增大误差。所以,流量计在正常工作时,必须对其进出口压力进行有效的控制,才能从根本上确保漏失量始终处于最小的状态。
3.3 粘度影响
流体粘度对漏流量△q 的影响具有两重性:第一,当流体粘度增大时,流量计内的流动阻力增大,导致进出口间压力差增加,对于相同的漏流间隙,漏流量增加。第二,当流体粘度增大时,对相同的漏流间隙来说,漏流量将减少,该两重性是相互逆向的。所以,总的来说,粘度对误差特性影响较小。测量精度低于 1%时,可以不考虑粘度的影响;但在高精度测量时,就必须考虑这种影响。可得到误差特性。由于粘度具有两重性,由它引起的进出口压力差增加,导致漏流增大的影响可以忽略。一般说来,容积式流量计中,这不是一个大问题。

3.4 精准计算漏失量引起的误差漏失是因为存在间隙所导致,而且漏失量的大小与间隙宽度的三次方成正比。在计算漏失量引起的误差时,应利用公式
进行计算。其中:qt 为流体的流量;qs 为单位时间内经过流量计的漏失量;v 为流体通过流量计从间隙中所漏失体的体积。由此可见,由于转子比与计量室的容积不变,流量计误差主要来源于漏失量。
4 .结束语
漏流是容积式流量计产生误差的主要原因。我们在检测的过程中要认真分析漏流发生变化的原因。将影响漏流量的因素控制在合理的范围内,从而保证检测的稳定和准确。