以减小玻璃管转子流量计的刻度示值误差为目的,就两种不同类型的转子流量计,使用坐标纸并结合详细计算步骤讨论了其修正方法。
玻璃管转子流量计具有结构简单、工作可靠、线性刻度、读数直观等特点,属于变面积式流量计的一种,在工业计量中应用最为广泛。一般出厂时对玻璃管粗细均匀程度要求较高,但其粗糙的刻线使得其在使用中误差非常大。由于玻璃管自身是锥体的,所以无法均匀分割刻线以达到与标准流量相接近的目的。为了达到预期使用目标,本着方便快捷、经济合理的原则,本文以 LZB-50和 LF 百分比型两种流量计为例,采用钟罩式气体流量标准装置,介绍如何把刻度示值无限接近地修正到标准流量。
1.相关概念
刻度示值: 玻璃管或坐标纸上标刻的读数,单位为 m3 / h,有时也用百分比。
标准流量: 在 101 325 Pa,20 ℃ 状态下的流量,单位为 m3 / h。
引用误差: ( 刻度示值 - 标准流量) / 量程上限× 100% 。
2.LZB-50 型流量计
( 1) 把转子流量计按玻璃管上的刻度示值做一遍检定,得到如表 1 所示数据,从中可以看出刻度示值为 “100”和 “80”时的引用误差非常大,已经无法正常使用 ( JJG 257—2007 《浮子流量计检定规程》中规定引用误差最大为 5% ) 。

( 2 ) 用坐标纸测量一下玻璃管上刻度示值“100”与 “80”之间有多少小格( 1 小格 = 1 mm) ,测得 “100”与 “80”之间有 66 mm。
(3 ) 把刻度示值 “100 ” 对应的标准流量080 m3 / h 减去刻度示值 “80”对应的标准流量 85. 764 m3 / h,计算出 “100”与”80”之间相
差的标准流量。即105. 080 - 85. 764 = 19. 316 m3 / h
( 4) 计算出刻度示值 “100”与 “80”之间每毫米对应多少 m3 / h。即
19. 316 /66 = 0. 292 66 m3 / h
( 5) 以标准流量 105. 08 m3 / h 为基准,找出标准流量为 100 m3 / h 时对应到玻璃管上的位置。即08 - 100 = 5. 08 m3 / h
08 /0. 292 66 = 17. 4 mm
6) 由 ( 5) 中的两个式子可以得出,标准流量100 m3 / h 和 105. 080 m3 / h 时在玻璃管上的位置相差 17. 4 mm。在坐标纸上找一起始刻线,并在玻璃管左侧与 “100”横竖对齐并固定好,从坐标纸的起始刻线处向下移动 17. 4 mm,该位置就是标准流量为 100 m3 / h 时的位置,在此处画一横线作标记,记数为 100。以后把浮子升到该位置就可较为准确地得到 100 m3 / h 的标准流量。
7) 上述步骤只得到刻度示值 “100”的修正,同理可以得出 80 与 60,60 与 40,40 与 20 相差的距离,通过向下调整而得到所需修正值。如果我们认为某点满足使用不用修正,那么就可以对照玻璃管上的刻线直接画过来。
( 8) 修正完所有刻度示值后,按照坐标纸上的刻度示值重新检定。得到如表 2 所示数据,从中可看出刻度示值为 “100”与 “80”时的引用误差已变为 0. 28% ,0. 39% ,明显优于修正前。

3.LF 百分比型流量计
按玻璃管上的百分比刻度做其对应的标准流量,如表 3 所示。从表 3 可看出,假如需要60 m3 / h、50 m3 / h、40 m3 / h、30 m3 / h 的标准流量时,我们是无法较为准确把浮子调到玻璃管上其对应的位置的,因此需要通过下列步骤得到我们想要的结果。

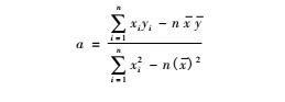
( 1) 根据上述数据用 Excel 等软件绘制 LF 曲线图转换成线性公式得出标准流量; 也可用下列公式 y = ax + b ( a 为直线斜率,b 为直线截距) 求出标准流量。

b = y - a x
式中: xi 为刻度示值,i = 1,2,…,6; yi 为标准流量;
n n
n = 6; x = ∑xi / n; y = ∑yi / n。
i = 1 i = 1
2) 经计算得 a = 0. 710 4,b = 0. 372 8,即y =
710 4x + 0. 372 8。我们已经知道刻度示值 “10”
对应的标准流量为 7. 450 7 m3 / h,那么只要以此为基准,向上找出 60 m3 / h、50 m3 / h、40 m3 / h、 30 m3 / h与 7. 450 7 m3 / h 之间的距离即可。
( 3) 由 ( 2) 中式子得出 x = ( y - 0. 372 8) / 0. 710 4,把所求的流量点流量 ( 60 m3 / h,50 m3 / h,40 m3 / h,30 m3 / h) 依次设为 y 值,得 x 值分别为 83. 9 mm,69. 8 mm,55. 7 mm,41. 7 mm。
( 4) 在坐标纸上找一起始位置,并在玻璃管刻线左或右侧与刻度示值 “10 ”横竖对齐并固定好,用铅笔做一标记,记数为 10 。因为我们不需要找这个流量点,所以全部标完后要擦除该记数。
5) 以记数为 10 的起始刻线为基准,向上到41. 7,55. 7,69. 8,83. 9 mm 处时分别做标记,画一横线,这些横线标记即为所求流量点,记数30 m3 / h,40 m3 / h,50 m3 / h,60 m3 / h。
LF 曲线图如图 1 所示。

4.结论
利用价格低廉的坐标纸在玻璃管上标注刻线,克服了玻璃管流量计自身出厂时的缺陷,更加有效地提高了流量计的精度,为工业计量节约了采买新流量计的成本。