为提高涡街流量计的测量性能,提出一套双通道涡街流量计信号处理方法,通过测量通道与监测通道的配合,提升低流速的测量性能,运用脉动信号功率最大频率点周期估计算法,进一步提升测量的精度和抗震动性能,并设计基于 MSP430 的涡街信号处理系统。实验结果表明:该信号处理方法能有效提升涡街流量计的测量性能。
0.引 言
涡街流量计作为一种新的速度型流量计,具有量程相对较宽、适用流体种类多、结构简单牢固、安装维护方便、校验简便等特点。现在涡街流量计已应用在工业生产、能源计量、环境保护工程、生物技术等各个领域[1]。目前高性能的涡街流量计被国外产品所垄断,而低流速不可测或测不准、抗振动性能差等因素成为了制约国内涡街流量计性能的瓶颈。提出采用数字化频谱分析方法来测量涡街信号频率,但是严格的数字化频谱分析难以同时兼顾分辨率和实时性。浙江大学的徐国梁等,提出信号增益控制结合谱分析的方法,并进行了相关的电路方案设计。天津大学的张涛和段瑞峰等采用松弛陷波周期图谱方法分析涡街流量计信号。合肥工业大学自动化研究所的徐科军等采用多种数字处理方法探索涡街信号的准确捕捉。
本文针对涡街流量计低流速不可测或测不准、抗振动性能差等问题,设计了一套双通道涡街流量计信号处理方法,通过测量通道与监测通道的配合工作,提升低流速的测量性能,并通过脉动信号功率最大频率点周期估计软件算法,进一步提升测量的精度和抗震动性能。
1.双通道涡街流量计信号处理方法分析
1.1测量通道信号处理方法分析
涡街信号的幅频特性为幅值与频率的平方成正比变化大。如此大的幅值跨度范围给后级系统信号处理带来困难,为方便后级对信号的数字化处理,首先对信号的幅频特性进行处理,使信号的幅值维持在一定范围内。
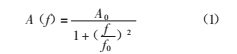
针对涡街信号按平方增长的幅频特性,考虑设计拥有 1/f 2 衰减(-40 dB/dec)特性的滤波单元来对原始信号的幅频特性进行处理。设计该滤波器的幅频特性为

式中:A0 —通带放大倍数; f —信号频率; f0 —滤波器截至频率。
该滤波器表现为一个二阶低通滤波器,当 f>>f0时,滤波器的传递函数近似为 1/f 2 衰减曲线。因此,理论上当涡街信号频率处于远大于转折频率的频带上时,通过此滤波器后的涡街信号幅值为一常数,该滤波器抵消了信号幅值增长的平方关系。同时,二阶低通滤波器还可以有效抑制高频干扰。
理论上,如果没有低频干扰,一个拥有 1/f 2 衰减的二阶低通滤波器即可实现涡街信号幅值在整个动态范围内自动调整。但实验数据显示,由于该滤波器对低频噪声没有滤波能力,而且低频摆动噪声强度随着流速的增加而增强,摆动信号可能叠加在正常信号上,使被叠加的信号超出处理电路的幅值处理范围,出现饱和失真(见图 1)。

为减弱叠加的低频噪声,考虑使用高通滤波器,与原有的低通滤波器组成带通滤波器。同时为了增加对低频噪声的滤波效果,考虑使用二阶高通滤波器(-40 dB/dec)。设计该滤波器的幅频特性为对于低频段信号,使信号经过同一个转折频率的低通滤波器,理论上输出的幅值为常数,但为了增加对低频噪声的滤波效果,本设计对高通滤波器转折频率进行分段滤波处理。

对于高频段信号,考虑到前端传感器进来的信号幅值已经饱和,信号幅值不再呈现按信号频率的平方倍关系增长规律,如果继续使用 1/f 2 衰减曲线,则会导致信号幅值衰减过小。同时由于此时信号的信噪比已经较高,故将低通滤波器转折频率后移,使低通滤波器基本放开。
下面以 50 mm 口径液体为例进行低频段和高频段信号的具体处理说明:
50 mm 口径液体的信号频率范围为 2~140 Hz(fmin=2 Hz,fmax=140 Hz),根据对前端传感器信号的测量处理经验,划分信号频率段区间为:低频段:2~16 Hz高频段:16~140 Hz
对于低频段信号,由于信号幅值未饱和,满足按信号频率的平方倍关系增长的规律,故选取二阶低通滤波器的转折频率 fL=fmin/2=1 Hz。而对于高通滤波器转折频率进行分段处理,分别选取 fH=fmin=2 Hz、fH=2×fmin=4 Hz、fH=4×fmin=8 Hz,进而将低频段分为 2~4 Hz、
4~8 Hz、8~16 Hz 3 段。
对于高频段信号,考虑到信号幅值已饱和,故选取二阶低通滤波器的转折频率 fL=fmax/2=70 Hz,既保证信号的正常输出,同时抑制一定的高频噪声。选取高通滤波器的转折频率 fH=8×fmin=16 Hz。
上述所分析的四频段信号处理方法构成了整个涡街信号处理体系的主体通道,这里称之为“测量通道”。
1.2监测通道信号处理方法分析
实际应用中,根据测量通道所输出的当前信号频率值判断选取相应的频段。现在假设出现这样一种情况:当前信号频率 fs=3 Hz,位于频段 1,由于现场流速的突然改变,信号频率突变为 fs=100 Hz,同时现场存在一个强度比较大的低频摆动噪声信号 fz=3 Hz。
此时真正的信号频率 fs=100 Hz,由于输入幅值已经饱和,经过频段 1 的低通滤波器,输出几乎为零,而现场的低频摆动噪声信号 fz=3 Hz 经过频段 1 恰好能够正常输出,这就导致了测量通道的频率段“死锁”,造成了涡街信号正常输出的“假象”。
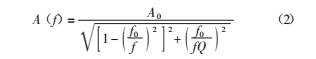
为了避免上述“假象”的出现,考虑设计一个一阶低通滤波器与一个一阶高通滤波器构成的带通滤波器,组成“监测通道”。因此设计一阶低通滤波器的转折频率为 fL=fmax/2=70 Hz,一阶高通滤波器的转折频率为 fH=8×fmin=16 Hz,其幅频曲线如图 2 所示。

当存在由于现场流速的突变而使信号频率突然由低频变化为高频,由于监测通道的带宽在量程范围内的高频段几乎畅通(带宽 16~70 Hz),所以能够快速正确地反映高频段信号的变化。当监测通道“得知”现在是高频流速信号这个“信息”之后,“通知”测量通道切换到频段 4(高频段),从而可以进行正确的测量。
以上便是双通道涡街流量计信号处理方法的思路分析,通过双通道的信号处理,最大程度的削弱了现场噪声,可以实现流量的准确测量,同时也保证了仪表的响应速度。
2.脉动信号的功率最大频率点周期的估计方法研究
涡街流量计的信号频率范围一般为 0.2 Hz~3 kHz,同时流量计在管道振动等干扰下又会在信号上混入许多干扰脉冲。通过“测量通道”输出的信号已经滤除了大部分噪声,但依然不可避免的存在噪声对信号造成影响,迫使经过滤波输出的正弦信号在经过整形电路之后,输出的脉冲存在“缺波”或“多波”现象。如何减弱振动干扰影响,提高涡街流量计的测量精度是进一步研究的重点。
根据对涡街信号特性的理解,设计一种合适的滤波方法来进一步提升涡街频率测量精度,弥补输出脉冲可能存在的“缺波”或“多波”现象。目前,已有的脉动信号周期的估计方法主要有两类:1)采用在线性滤波器下直接对周期捕捉值进行数字滤波方法;2)先对脉动信号进行 A/D 转换,再采用数字化频谱 FFT 方法来分析功率最大频率点的周期值,这些方法有需要解决数字化频谱分析的分辨率和实时性难
以兼顾的技术问题,或用了更多的硬件与软件而不利于实现实际的低功耗仪表。
针对已有技术存在的缺点,本文提出一种脉动信号的功率最大频率点周期的估计方法,直接根据脉动信号的周期捕捉数据,采用数据中数值相差最小的数据组数据的平均值作为脉动信号的功率最大频率点周期的估计值。这样既降低了对脉动信号的功率谱估计的计算量,又提高了对脉动信号周期值估计的精度和准确性。

如图 3 所示,脉动信号 X1 连接到一个周期捕捉单元后,再连接到一个数据处理单元。周期捕捉单元由一个信号整形单元和一个跳变计时单元组成;信号整形单元将信号 X1 整形成脉冲信号 X2 送到跳变计时单元,跳变计时单元对脉冲信号 X2 的电平跳变周期进行计时,将每次的计时值作为信号 X2 脉冲周期的捕捉值 D 送入数据处理器单元。

如图 4 所示,数据处理单元把周期捕捉单元每一次新捕捉值 D 都作为数据队列 C 中新的 c(n)数据,再把原数据队列 C 中的 c(i)数据变成 c(i-1)数据,i=2,3,…,n,即随周期捕捉单元每一次送入新的捕捉值 D 后使数据处理单元产生新数据队列 C={c(1),c(2),…,c(n)};数据处理单元根据每一次新数据队列 C 搜索出 m 个数值相差最小的数据组 G(即数据队列 C 中表现最为集中的一组数据,n≥m≥2);再计算出新数据组 G 中 m 个数据的平均值 A 作为信号 X1 功率最大频率点周期的估计值;同时用平均值A 作为周期来产生输出脉冲 W。
通过上述脉动信号的功率最大频率点周期的估计方法,进一步对涡街信号进行滤波处理,剔除由于现场干扰而引起的突变干扰脉冲,最大可能提高了仪表的测量精度和抗振动性能。

如图 5 所示,图示下方波形为原始输入波形,上方波形为经过功率最大频率点周期估计之后的输出波形。可以看到,经过周期估计之后的输出波形对原始波形进行了弥补,最大程度地还原了代表流量信息的真实波形。
3.系统设计
3.1硬件设计方案

图 6 所示为整个设计的硬件系统总体结构图。整个硬件系统主要由 5 部分组成:
1)前置放大电路:完成压电传感器的输入信号放大转换。
2)可控增益调整电路:配合测量通道,完成回路的闭环自动增益调整。
3)测量通道:整个硬件系统最核心部分,通过带通滤波器完成信号的滤波处理,并完成脉冲整形任务。
4)监测通道:通过脉冲计数,完成当前流量的实时监测,确保测量通道处于正确的频段。
5)滤波测量单元:通过软件滤波,完成涡街流量的频率输出。
各部分电路之间相互协调完成整个硬件系统的信号处理。
3.2软件设计方案
如图 7 所示展示了整个 MCU 软件程序设计的架构示意图,MCU I 的程序模块主要涉及 A/D 采样、SPI 通信、定时器和 UART 通信等,其主要完成的功能有:

1)软件脉冲整形:通过 A/D 采样完成 TP1 的模拟正弦信号到 TP4 的脉冲信号的整形输出。
2)滤波频段选择策略控制:通过与 MCUⅡ频段、周期等信息的交互,完成当前滤波频段切换控制。
3)自动增益调整:通过 A/D 采样得到的当前TP1 模拟信号的幅值信息,控制放大器的增益倍数,完成回路的幅值闭环控制。
MCU II 的核心功能是完成信号的滤波测量,如图 7 所示,通过当前频段值判断选取脉冲信号输入源,然后完成脉冲信号的功率最大频率点周期估计,形成脉冲输出送至上位机,通过上位机后期的软件非线性修正,最终得到流量数据进行显示。
4.实验分析
本文所设计的涡街流量计在 50 mm 口径液体管道,采用静态容积法进行校准检定,测量下限达1.2 m3/h 左右,国内涡街流量计在相同环境下的测量下限一般为 3~50 m3/h,拓展了 3 倍左右的测量下限,使量程范围扩大了 3 倍。
同时,所设计的涡街流量计在 1 g 振动加速度情况下,测量量程范围可达 30~400 m3/h,而目前国内涡街流量计在无振动加速度情况下的测量量程范围也只为 30~400 m3/h。
5.结束语
本文在总结当前国内外涡街流量计研究的基础上,提出一套全新的高性能涡街流量计信号处理方法,通过对涡街流量计信号特点的分析,设计了一套双通道涡街流量计信号处理方法,并通过脉动信号功率最大频率点周期估计软件算法,进一步提升了测量的精度。