0.引言
随着超声波技术研究的不断深入,其应用变得越来越广泛,当超声波在流体媒介中传播时,会携带流体流速等信息,因此根据对接收到的超声波信号进行分析计算,就可以得到流体流速,进而可以得到流体流量。利用这个原理,就可以研制出种类繁多的超声波流量计。从原来只有的频差法和时差法,增加了射束位移法 相关法 多普勒法和位移法等。其中超声多普勒流量计尤为突出。在超声波流量计中多普勒法是其中重要的一种,它适用于测量混合介质流体流量。一般的超声波流量计具有很多优点,例如流量计可以安装在管道外面,无力损失,管道内的流体不受干扰,安装 拆卸 维修传感器时不需要中断生产流程。超声波流量计之所以非常适合大管径流量测量和污水流量测量,正是因为这一系列优点。
1.超声波多普勒流量计的测量原理
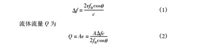
多普勒效应是奥地利物理学家克里斯·约翰·多普勒于842 年首先提出的理论。其主要内容是当声源和观测者之间有相对运动时。观测者接收到的频率和声源发出的频率是不同的,该频率的差值与相对运动的速度成正比。超声多普勒流量计正是以这种多普勒效应为基础的。图 1 为超声波发射换能器 P向管道中发射固定频率为 f的超声波,经被测流体中的固体颗粒反射后,因多普勒原理,超声波接收换能器 P2 接收到的超声波频率 f1 发生变化,超声波发射与接受换能器频率之差 f =| f0 - f1 | ,设超声波在流体中的传播速度为 c,流体速度为 v,超声波与流体流速方向夹角 θ,多普勒频移值为

式中 A 为被测管道的截面积。
当被测的管道及被测介质确定之后,多普勒频移与流体流量成正比,只要测得频差 f 就可以得到流体流量 Q。

2.多普勒流量计的系统设计
多普勒流量计硬件系统主要是完成对超声波信号的发射、接收和信号处理,以及对流量计外部设备的控制,系统框图如图 2 所示。超声波发射电路主要包括 DDS 电路、功率放大电路。接收电路主要包括多级放大电路、带通滤波电路、混频电路以及低通滤波电路。

2. 1 超声波发射电路
选用一对中心频率为 1 MHz 的超声波换能器分别作为发射和接收探头,利用频率为 1 MHz 的连续正弦波,驱动超声波换能器使其在管道中发射超声波。如果采用一般的正弦波电路来产生驱动信号,会使产生信号源精度不高,从而影响测量的准确性,所以文中采用 DDS 电路来产生驱动超声波的驱动信号。文中用 DDS 电路产生 2 路 DDS 信号,一路为 1 MHz 的正弦波信号用作超声波的驱动信号,另一路为 990 kHz 的正弦波信号,作为后面混频电路的参考信号。DDS 产生的 1 MHz 正弦波信号并不能直接驱动超声波换能器,要经过功率放大之后才能驱动超声波换能器。本文采用推挽式功率放大电路,变压器主要起到提升电压以及和超声波换能器阻抗匹配的问题。此电路设计简单,电路图如图 3 所示。

2. 2 超声波接收电路
接收换能器接收到的超声波回波信号很微小,一般为几十到几百 mV,所以要对接收到的回波信号进行多级放大,由于回波信号中含有各种噪声信号,经过多级放大处理过后,原来的噪声信号也被放大了,有些噪声信号甚至有可能淹没回波信号,所以滤波电路至关重要。设计中心频率为 1 MHz 的带通滤波电路,来滤除信号中的干扰。具体电路图如图 4 所示。

2. 3 混频以及解调
混频电路是将接收到的回波信号和另一路 990 kHz 正弦波参考信号进行混频,并通过二阶巴特沃斯低通滤波器滤除高频分量完成中频解调,得到中心频率约为 10 kHz 的中频信号。这样将测量信号的频率大大降低,使 A /D 采样的频率也降低了。本方法在中频段对信号进行频谱分析处理,相对于在高频段对数据进行频谱分析而言简单方便,数据量小,相对于解调到基频的传统方法,其能判断流速方向。AD7606 对多普勒频移信号进行采样,最后把采样的到的数据进行快速傅里叶变化,得到频谱图再通过计算得到频移偏量,计算出流量。
3.软件设计
软件是整个超声波多普勒流量计系统的重要组成部分。软件部分主要是完成对 STM32F4 系统的初始化。STM32F4 系统软件主要包括 2 路 DDS 产生程序,按键控制程序,AD7606 采样程序,以及 RS485 通讯程序。STM32F4 系统上电后首先执行初始化操作,然后按键控制产生正弦波驱动信号驱动超声波传感器,最后把单片机采集的数据发送给上位机。应用 MATLAB软件对采集到的数据进行处理。由于采集到的数据含有噪声信号 在处理前应滤除其噪声信号。用到小波变换算法 滤除数据中的高频噪声信号,然后再把处理后的数据进行1 024个点的 FFT 变化,得到信号的频谱图以便计算出频率的变化。
4.实验结果及分析
超声波多普勒流量计的驱动信号的精确与否至关重要,它直接影响到系统得精度。本文采用高精度的 DDS 芯片产生精确的正弦波驱动信号保证了测量的精度。对于混频模块的处理,我们采用了把多普勒回波信号解调到中频段,而不是传统的基频解调,这样不但能判断出流速方向而且也提高了在低流速测量时的动态响应能力。对采集的1 024 个点的数据进行FFT 变换得到其频域信息,设置 AD7606 的采样频率为 50 kHz。
图 5 为流速方向为正的中频解调频谱图,图 6 为流速方向为负的中频解调的频谱图。

中频解调的优势就是能利用左右带分辨出流速方向为正或负,图 7 为管道中流体静止时对应的频谱图即中频解调后的频率。图 8 为管道中流体速度大概为 2 m /s 时对应的频谱图。

下面在不同流速情况下,把测到的流速与实际流速就行比较。控制水流速度从 0. 5 ~ 2. 5 m/s 变化,在不同流速情况下分别测得 7组数据。表 1 为此实验实际流速与实验测得流速值的比较。


5.结束语
超声波多普勒流量计以 STM32F4 作为控制核心,利用高精度的 DDS 芯片产生精确的正弦波驱动信号。在混频模块,采用把多普勒回波信号解调到中频的方法,这样能判断出流体流速的方向,以及提高了在低流速测量时的动态响应。系统改进措施如下: 对硬件系统和超声波传感器进行屏蔽处理,降低外界干扰,进一步提高测量的精度和稳定性; 选用稳定性、精度更高的超声波传感器探头,提高接收到的回波信号的精确性; 采用专门的数据处理芯片( DSP 单片机) 作为核心芯片进一步提高测量精度。