本文通过对气体超声波流量计流量数据漂移现象的形成原因进行分析,从理论上讨论其形成过程,总结在长期处置 此类问题中的经验教训,给出解决方案,并分析判断得出最佳的应急处置措施。
前言
气体超声波流量计在髙压、大流量的天然气贸易计量中有 其他流量计不可比拟的优势,但是实际使用条件往往与实验室 实验条件相差较大,例如管道气体中含固体杂质或者水分较多 的情况下,会使气体超声波流量计的计量准确度降低,甚至会 出现瞬时流量频繁波动的数据漂移现象。
本文通过对气体超声波流量计计流量数据漂移现象的形 成原因进行分析,从理论上讨论其形成过程,总结在长期处置 此类问题中的经验教训,给出解决方案,并分析判断得出最佳 的应急处置措施。
一、气体超声波流量计在输气管道应用现状
气体超声波流量计在髙压、大流量的天然气贸易计量中有 其他流量计不可比拟的优势,精度髙,量程比大,无可动部件, 对压力的很大变化不敏感,重量轻,占用空间少,并具有自沴 断功能。自上世纪90年代应用到天然气计量,气体超声波流量 计在国外尤其是欧美国家得到了普遍的应用。我国也在本世纪 初大量引人了大量超声波流量计用于天然气汁量和贸易文接。
但是超声波流量计实际使用条件往往与实验室实验条件相 差较大,例如管道气体中含固体杂质或者水分较多的情况下, 会使气体超声波流量计的计量准确度降低,甚至会出现瞬时流 量频繁波动的数据漂移现象。
天然气管道在生产运行中,当天然气中固体杂质粉尘含量 较多,清管器会推进大量粉尘到下游场站,尤其是在管道清管 期间,对输气场站生产会造成很大压力。引起旋风分离器、过 滤分离器堵塞,调压撬工作阀不动作,超声波流量计计量数据 漂移等一系列问题。其中尤以超声波流量计的流量数据漂移的 影响与危害最大。超声波流量计的流量数据发生漂移,如果处 理不及时,势必会造成供气总累计流量的变化,计量数据失去 准确性。严重时由于交接差的增大,会与用户产生计量纠纷。
二、管道固体杂质对超声波流量计计量的影响原因分析
当含水、硫化铁粉末等粉尘或其他杂质的天然气流经超声
波流量计时,由于杂质的长期存在,得以在流量计的探头部位 和流量计表体管道内壁不断积累,形成一层覆盖层,影响超声 波的发送效率和相关计量数据,从而出现超声波流量计计量的 不稳定性。由于本公司在用户供气中都经过了各种分离措施, 例如旋风分离器和过滤分离器,其实已经对气质进行了有效地 净化。但是,实际上,我公司在实际运行中,经过净化后,依 然出现了大量固体粉尘杂质在下游管线堆积的情况。
当天然气中长期含有较多的固体粉末性杂质时(以下简称 粉尘),粉尘在超声波流量计表体的管道内壁积聚,附着在管 道内壁或探头表面,形成一层粉尘层。粉尘层的存在,使得超 声波流量计的声道效率下降,不能达到100%,流速也不能稳 定在某一数值,出现了上下波动的峰峰值。下面我们从超声波 的计量原理上对此进行分析:
气体超声波流量计是利用超声脉冲在气流中传播的速度 与气流的速度有对应的关系.即顺流时的超声脉冲传播速度比 逆流时传播的速度要快,这两种超声脉冲传播的时间差越大, 则流量也越大的原理。在实际工作过程中,处在上下游的换能 器将同时发射超声波脉冲,显然一个是逆流传播,一个是顺流 传播。气流的作用将使两束脉冲以不同的传播时间到达接收换 能器。由于两束脉冲传播的实际路程相同,传输时间的不同直 接反映了气体流速的大小。这种方法称为速度时间差法。
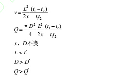
由于超声波流量计采用绝对数字时间差法检测气体的流 量。根据公式:

其中:
t,顺流传播时间;t2逆流传播时间 L声道反射长度;L'实际声道反射长度 v气流平均流速;x超声波探头之间距离 D管道内径;D'实际管道内径
当有粉尘层存在时,相当于缩小了管道内壁直径D,也使 超声波发射和接收之间的距离L偏小,顺流和逆流传播时间 也都偏小,由于超声波的速度基本恒定,L和时间的偏离是等 比例的。实际的管道内径和实际的反射长度要小于正常工作时 的管道内径和超声反射距离。可是流量计算机在计算流量时, 依然以正常的管道内径和反射距离来计算,可以得知,会使得 测得的气体平均流速偏大。同时由于管道内径D大于管道实 际内径,流量计算机所计算出的瞬时流量也就偏大。尤其是在 管道内径较小时,这种影响尤为明显。
另外,由于粉尘在管道内积聚时并不能形成平滑如管壁的 积聚层,有较大的不确定性和粗糙度,同时,在大输量下管道 存在一定的振动,更加剧了这种不确定性的频繁波动,所以这种计量偏离也是不确定的,这就出现了所说的数据漂移现象。 例如我单位某站数据漂移现象时,瞬时流量的波动并不是长期 固定在某个值,而是频繁波动,但是波动方向却是一致的,均 是偏大。
三、应急处置措施
针对固体粉尘的影响,最好的办法就是从气源的根本上解 决杂质的问题,解决固体性粉尘杂质的来源问题。但是从现场 生产的角度来讲,我们要求快速的有效地恢复超声波流量计的 正常运行,根据场站的实际生产情况,特此提出以下三种应急 处理措施:
(一)严密关注计量前分离器的压差变化,及时切换支路, 清理分离器和更换滤芯,尤其的计量前的过滤分离器。过滤分 离器的过滤效果直接决定了供给下游用户的天然气中含粉尘 量的多少,当过滤分离器压差较大时,粉尘在滤芯表面附着厚 厚一层,难以达到很好的过滤效果。如果用户需求量大时,处 理的气量过大,效果将更差。及时的切换过滤支路和更换滤芯, 可以有效减少粉尘量,减少粉尘积聚,使通往下游的固体粉尘 杂质最大程度的减少,不能再短时间内对超声波流量计的计量 造成影响。
(二)超声波流量计发生数据现象以后,场站都在第一时 间切换到备用支路,并对原供气支路的超声波探头进行拆卸清 洁。将超声波探头拆下,对探头进行清洗,由于只能清除探头 部分的粉尘,不能对管壁上的粉尘进行清理,效果不佳。所以 还需要第三种措施共同实施。
(三)对场站内超声波流量计进行吊装拆卸,清理超声波 内管壁内固体粉尘杂质。对超声波流量计进行整体拆卸,清洗 探头和内部管壁,这种处理方式是在超声波发生计量数据漂移 时最有效地措施,可以有效地消除粉尘对计量产生的影响。
通过现场实施,我们认为定期保持对场站分离器进行清理 5月是必要采取的措施,是减少天然气中粉尘含量的有力保证。而 拆卸探头进行清洁和对超声波进行吊装拆卸清洁内管壁必须 同时进行才能确保达到更好的效果。但是,气质中固体粉尘杂 质含量是产生计量失准的根本原因,超声波运行要求的气质条 件较髙,最好是从源头上采取措施解决长输管道的粉尘杂质。
四、建议措施
(一)根据操作规程手册,过滤分离器在压差达到 100KPa需要切换支路,更换滤芯,但是在实际运行中,当用 户供气量较大时,压差甚至在50KPa时就已经没有较好的过 滤效果,所以要根据实际供气情况决定支路切换和滤芯更换时 间。
(二)天然气中含有较多的粉尘,在气质问题短期内难以 改善的情况下,定期对超声进行拆卸探头进行清洁和对超声波 进行吊装拆卸清洁内管壁,做到未雨绸缪,确保超声波流量计 的正常运行。
(三)超声波进行校验时同时也要鉴定超声波前直管段, 清洁整流器。超声波前直管段对气体流态有很大影响,平稳的 气流能使得超声波计量更稳定。对直管段进行检定,一方面是 保证气体流态稳定,二是同时可以清理关闭中的杂质污物。
(四)通过优化运行,充分发挥输气管线全部旋风分离和 过滤分离器作用。长输管线各个场站都有旋风分离器和过滤分 离器,可以通过优化运行,将能够对干线天然气进行分离的分 离器投用起来,通过层层过滤,尽量减少天然气中杂质含量, 减小下游分输场站供气时的压力。