本论文分析了影响外夹式气体超声波流量计进行流量计量的因素,并得出结论。根据对现场 应用中管段式气体超声波流量计的故障分析及处理,提出了气体超声波流量计现场应用的优化性建 议。论文研究成果对气体超声波流量计在输气管道现场应用具有一定的实用价值和参考意义。
1.引言
气体超声波流量计是一种利用超声声学原理工作的新 型流量测量仪表,与传统的流量计相比,气体超声波流量计 具有运行稳定、易于安装、计量准确可靠、非接触测量、量 程比宽、无压力损失、节约能源等特点,是一种比较理想的 节能型流量计,在大管径流量测量方面也有优越性。
本论文源于西南油气田公司输气管理处开展的气体超 声波流量计在输气管道现场的运用研究项目。在查阅大量 国内外相关资料的基础上,论文对气体超声波流量计的测 量原理、性能技术特点及软硬件构成进行了细致研究,并 在此基础上进行了现场实验,主要有:噪音对外夹式气体 超声波流量计影响测试;外夹式气体超声波流量计传感器 耦合剂替代材料测试;壁厚值对传感器选型的影响测试; 外夹式气体超声波流量计对气体流速和管道压力的要求测 试;管道外壁粗糙程度对外夹式气体超声波流量计的影 响;直管段长度对气体超声波流量计的影响测试;外夹式 气体超声波流量计与管段式气体超声波流量计、高级孔板 阀计量系统流量对比测试。根据现场试验及对各种数据的 分析研究和后续调试工作。
2.超声波流量测量
应用超声波原理测量流量始于1928年,而进入实用 阶段约在20世纪70年代,但仍限于测量液体,用于测量气 体流量约在90年代。由于气体超声波流量计具有许多传 统流量计(孔板、涡轮、涡街……等)无法相比的突出优点 (见表1),在天然气流量计量领域中,它犹如一颗耀眼的 新星,备受国内外工程技术界的关注。往年在巴西召开的 “FOLMEKO2000第十届流量测量国际学术讨论会”上, 重点讨论了超声波流量计,该方面的论文数占论文总数的 29.4%,接近1/3;而历届讨论最多的有关差压式的论文数 仅占17.6%,不再成为热点。从发展趋势来看,由于超声波 流量计具有精确度高、性能稳定可靠、量程比大、管道中 无检测件等特点,在工程应用及国际贸易中,大有后来居 上取代传统流量仪表的趋势。目前,美国、英国、荷兰、 德国、加拿大、俄罗斯等10余个国家已批准它为天然气贸 易输送系统的计量仪表。

据了解,我国也正对此进行技术推广,制定了标准。 仅以我国四大世纪工程之一的西气东输工程为例,经多次 流量计量论证,已将气体超声波流量计作为流量计量的首选仪表。据估算,该项目一期工程对检测控制仪表的投资 将达到100亿元左右。流量计量是整个工程中重要的检测参 数,初步估计,管道为DN150~DN1000的大中型天然气输 配计量站约数百个,DN100以下的流量计量所需仪表将以 万计,流量计量投资约10亿元左右。这个巨大的市场对于 仪表生产厂商来说,真是千载难逢。
3.流速测量原理
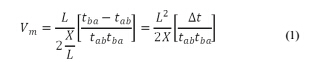
目前用超声波法来测气体流量,时差法几乎是唯一 的选择。时差法是目前气体超声波流量计应用较多的测量 原理方法。气体超声波流量计主要由超声波换能器组、信 号处理电路和积算系统三个部分组成。超声波发射换能器 发射超声波束穿过被测流体,超声波接收换能器把接收到 的信号经过放大、滤波处理后转换为电信号,供积算系统 积算,最终实现流量的检测。气体超声波流量计进行流量 测量的基本目标是实现高精度,但由于工业现场接收信号 弱、环境噪声强等不利因素,该目标往往难以实现。其 测量原理如图1所示,A、B是安装在管道上的两个换能器 (Transducer),既可发射又可接受超声波。

图1时差式超声波流量计原理图 图1中,A牌上游,B牌下游,两者轴向距离为X,声道 长度为L。从AAm—声道上的平均流速
9—换能器安装的倾角(声道角度)
B接受信号后,向A返回的超声波信号为逆流向, 时间为:
tab=L/(C-Vmcos9)
再考虑cos?=X/L,两式相减化简可得:

从式(1)可知,用时差法测流体的轴向速度与声速C无 关,这就大大简化了测量电路。这个方法早为人们所知, 但实际应用到测量气体流量当时还有困难。近几年来由于 集成电路的飞速发展,可以精确测量极其微小的时间差(达
10-9s~10-12s),才使其得以进人实用阶段。目前对时差的处 理电路有PLL(锁向环路)、TLL(时间锁定环路)及LEFM(波 前沿时间差法)等。
4.流量测量原理
流量应为管道横截面积A乘以流过管道横截面的流体 流速V,它与上述声道L上的平均流速Vm并不相等,可用 系数K予以修正,K=Vm/V。系数K取决于流体的雷诺数 Re,在管道内充分发展的紊流条件下:
当流速V变化10倍时,K值将变化1%,在进行精确测 量时,必须用K对流量值进行动态修正。
当管道的直管段不够长时,管内的流速分布不能形成 充分发展的紊流,这将降低许多流量仪表测量的精确度。 而超声波流量计可采取多声道的办法(可采用8个换能器、4个声道以测量整个截面的流速,如图(2)已减少受到的影 响,仍可保持高达±0.5%~±1%的精确度。

5.工程应用
5.1技术特点
时差式气体超声波流量计现已成为当今气体流量(特别是高压、大口径)计量的首选仪表,它的特点如下:
适用于大口径管道测量,口径范围75mm ~1200mm, 最大口径可达1600mm;
精确度一般优于土 0.5%,重复性可达± 0.1%;
量程比很宽,可达300 : 1以上;
所需上下游直管段较短,上游为10D,下游为3D;
无可动部件,使用安全、可靠;
换能器轻巧,所占空间小,安装维护方便;
无压损,为节能产品,可降低输气管道增压费用;
可进行双向流量测量;
不测质量流量;
不受涡流及横截面流速分布变化的影响;
可精确测量脉动流;
不受温度、压力、气体组分变化的影响;
不受沉淀物、湿气的影响;
可在不断流、带压状态下更换换能器;
具有自检、自诊断功能;
管内无阻流件,可允许清洗球自由通过管道和流 量计,清洗容易。
5.2标定指标
虽然美国燃气协会的AGA9号报告认为采用超声波流 量计测量天然气允许误差为±0.7%(口径小于300mm可允 许±1%),按目前国外制造商的水平,不进行标定基本上 都可以达到这个精确度要求。但不少天然气供应商在贸易 计量时,为减少损失,仍希望通过标定来提高仪表的精确 度。据Edgar估计,在DN400的管道中,输送6Mpa压力、 750M3/h流量的天然气,如流量计误差为了0.7%,天然气价 格按7美元/100M3计,那么每年将少收180万美元。而标定 一台口径400mm的超声流量计,每次仅需约3万~4万美元, 几个工作日就可回收标定费用。标定方式可以有实流标定 及干标定两种方式。
5.3实流标定
实践证明,影响超声波流量精确度的因素很多,在实 验室条件下进行。实流标定是提高流量计精确度行之有效 的方法。实流标定可采取基准法及比对法。基准法是通过 基本的物理量作为流量的基准来标定被校流量计,如Mt 法;而比对法则是将一只精确度较高的流量计作为标准 表,与被校仪表串联在同一管道上,在相同的流量下,比 对两只流量计的差值,然后用流量系数来修正被校仪表的 流量值,这种方法较基准法实施起来较为简便,但精确度 低于基准法。以上两种标定方法,在我国成都华阳天然气 流量计量站均可进行。

5.4干标定
实流标定较适用于DN300mm以下口径的流量计,而对 于较大口径的流量计进行实流标定不仅拆装运输很繁琐, 费用也过于昂贵,而且实际上未必有这么大的标定装置。 鉴于过去几十年来对孔板流量计实行干标,取得了不少经 验且剖有成效,而超声流量计也无法转动部件,可以借鉴 孔板的干标。其方法如下:
几何尺寸测定:精密测量流量计壳体内部几何尺 寸,是干标法的基础。
功能测试:将换能器装入主体接入电路,对流量计 功能进行测试,确保其工作稳定。
组态调整:测试调整声道角度和声程。
零流量检测:零流量时,流量计的时差应等于零, 管道口径愈大,零流量漂移应愈小。
声速计算:通过计算机和相关软件,计算不同组分 下气体的声速。
声程标定:取两种不同压力下纯气体(如纯氮)的声 程,取其平均值。
6.市场展望
6.1品牌分析
近几年,由于微电子、数字技术的进步,超声波流量计的发展势头异常迅猛。2000年在北京举办的“第十一届 多国仪器仪表展览会(MICONEX)”上,超声波流量计的参 展商就有10多家,但大多只能测液体流量。由于超声波通 过气体的阻力(即气阻)要比通过液体和固体大的多,因此, 对测量电路的要求更高。目前,在国际上能将超声波技术 成功应用于测气体流量,并推出产品且占有一定市场的, 估计不超过10家。处于领先地位的有荷兰的Instromet公 司、美国的Controlotron公司和Daniel公司、德国的Krohne公 司。前三个公司都已进入具有巨大潜力的我国市场,角逐 激烈。我国在20多年以前,有科学院合肥分院与四川石油 设计院联合研制气体超声波流量计,在1986年曾进行了样 机试验;本溪无线电一厂也曾开发推出了 CQJ-IA型气体超 声波流量计,但至今还未成功地应用于现场。表2所列为已 进入我国市场的3家国外公司超声波流量计的技术性能(所 列数据仅供参考,如有改变,以厂家所报最新数据为准)。
6.2工程应用
超声波流量计以其优异的技术性能可用于天然气计 量。当前,在我国的西气东输、四川天然气计量改造等项 目中,选用它作为计量仪表已成事实。但业内专家认为, 在选用上还应注意以下问题:
气体超声波流量计是近年来推出的新型仪表,对 使用中会出现的问题,还需要一个熟悉过程。选用不宜过 热,应采取稳步、谨慎的态度。
目前气体超声波流量计均来自国外,且价格昂贵。 面对我国巨大的市场,国内仪表工程界应尽早国产化,不 可过分依赖国外。这不仅是外汇流失问题,对今后使用中 的维修、配件更换更有好处。
应根据使用目的,合理选用流量仪表,不可盲目追 求高指标。如干线的流量不可作为贸易的依据,仅供内部 产量参考,则可选用价格便宜,安装方便但精确度较差的均优势并不突出,价格仍较贵,则可选用价格较低,精确度适 中的涡轮流量计,或低速性能较好的旋进式漩涡流量计。
7.技术探讨
从化工总厂的水计量逐渐使用超声波流量计。由于 超声波流量计的显著优点,尤其对较粗管线(DN80以上)而 言,安装方便,整体投入费用小,因此广泛地使用在该厂 的循环水、除盐水等水计量上,并取得了较为准确的计量 效果。
超声波流量计的工作原理
简单地说,超声波在流体中的传播速度,顺流方向和 逆流方向是不一样的,其传播的时间差与流体的流速成正 比,因此只要测量出超声波在两个方向上传播的时间差, 就可以知道流体的流速,再乘以管道的横截面积,就可以 得到流体的流量。
影响超声波流量计准确度的技术因素
按照测量原理划分,超声波流量计测量流量的方法使用 最多的是传播速度差法和多普勒频移法[1]。其中传播速度差 法又可以分为时间差法、相位差法和声循环频率差法。在该 厂使用的超声波流量计中,基本上采用的都是时间差法。
8.结束语
超声波流量计作为一种流量计量仪表,只要在安装、 使用和维护方面注意一些基本的技术问题,可以达到准确 测量和计量的目的,从而为提高计量平衡率提供科学和准 确的依据。