基于孔板节流式流量计的研究
差压式流量计的应用广泛,市场占有率高。其中孔板节流式流量计更是有代表性。人们在实际生产中常常有对于孔板节流式流 量计的计算、设计和安装有着很大困难。首先是不知道怎么设计安装,其次是对于检测后的计算结果不精确,最后还有设计的流量计有着缺陷,导致加工制造难度高,装置使用时间不长久等问题。针对计算精确和设计方便等因素综合考虑,就孔板节流式流量计的计算公式和安装特点进行研究,做出一些改进。目地是为了设计出流量计有着安装方便、检测计算精确和使用时间长的优点。
1.前言
在实际的生产过程中,为了有效地进行操作、控制和监督,常常需要检测各种流体的流量。流量检测仪表是发展生产,节约能源,改进产品质量,提高经济效益和管理水平的重要工具,同时也是工业自动化仪表和装置中的重要仪表之一。
在流量检测中有体积流量和质量流量两种方式进行测量。质量流量常常需要被测物的密度来进行检测,而被测物中含有一定的杂质导致测量的不精确。所以在这种情况下体积流量的优越性就体现出来了。
在体积流量中有一种测量装置———差压式流量计十分受欢迎。差压式流量计具有结构简单、价格便宜、使用方便的优点。,成为目前工业生产中应用最多的一种流量计。
2.流量计的分析及改进
2. 1 差压式流量计
差压式流量计是基于流体的节流原理。它是利用流体流经节流装置时产生的压力差来进行计算测出流量的。在流通管道上设置一个流动阻力件,当流体流经阻力件时将产生压力差,而这个压力差与流体流量之间有确定的一个数值关系,通过测量出这个压力差就可以求得流体流量。
产生差压的装置有许多种,包括节流装置、动压管、均速管、弯管等。在节流装置中常用的: 孔板、喷嘴、文丘利管等。这里主要分析板孔型节流装置和运用。
2. 2 节流式流量计
节流式流量计可用于测量液体、气体或蒸汽的流量。此流量计是应用最长最成熟的差压式流量计,至今在流量仪表中占有非常重要的地位。
节流式流量计中产生差压的装置称节流装置,其主体是一个局部收缩阻力件,称为节流元件。通过节流元件改变流体流通截面,从而在节流元件前后形成压力差。节流装置分为标准节流装置和非标准节流装置,标准节流装置的研究最为充分,实验数据最完善,装置型式已经标准化和通用化,只需要根据有关标准进行设计计算,严格按照加工要求和安装要求,这样的节流装置不需要经过单独标定就可以使用。而非标准节流装置用以解决脏污和高黏度流体的流量测量问题,尚缺乏足够的实验数据,因此没有标准化。
节流式流量计的特点是结构简单,无可动部件; 可靠性较高;复现性能好; 适应性较广,它适用于各种工况下的单相流体,适用的管道直径范围宽,可以配用通用差压计; 节流装置已有标准化型式。其主要缺点是安装要求严格; 流量计前后要求较长的直管段;测量范围窄,一般范围度为 3 ∶ 1; 压力损失较大; 对于较小直径管道测量比较困难,精准度不够高。
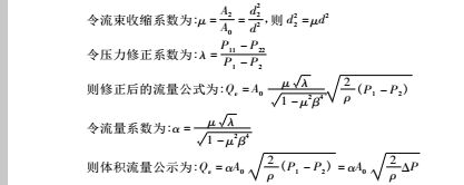
2. 3 节流原理与流量方程首先介绍流量计算方程中需要用到的参数及其意义: ρ—流体密度; D、A1 —管道直径和截面积;
d2 、A2 —流束最细处( 即截面 B 处) 流束直径和截面积;
d、A0 —孔板开孔直径和开孔截面积;
P1 、P2 —孔板前后固定位置处静压力。

管道中流动的流体具有一定的能量,即静压能和动能,并且这两种能量可以相互转化。可以明显看出孔板前后流体的速度和静压力的变化情况。流体在截面 A 以前,静压力为 P11 ,流速为 v1 ,当流体靠近孔板时,管壁处的流体此时受到的阻挡最大,使得部分动能转换为了静压能,导致静压力升高,产生靠近管壁流体与管道中心流体间的径向压差,从而使得靠近管壁流体的流向与管道轴线相倾斜,形成了流速收缩运动。由于惯性的作用,流束最细处在孔板后的截面 B 处,此时流速 v2 最大,而静压力 P22 最小,之后流束渐渐扩大,到截面 C 处完全复原,流速 v3 = v1 。
由于节流装置的存在,流体形成的局部涡流和克服摩擦力,消耗部分能量,所以流体的静压力不能恢复到原来的数值 P11 ,压力

![]()
![]()
![]()
![]()
![]()
![]()
节流元件的型式、取压方式、节流装置开孔直径、管道直径和流体的流动状态都会影响 α。

2. 4 改善措施与应用领域由于差压式流量计具有结构简单、价格便宜、使用方便的优
点,许多人都喜欢使用。但是在现场实际应用中,往往有较大的测量误差,这是由于选型、设计计算、加工制造和维护不当造成的。针对这些状况给出了一些改善措施,提高测量精确度。
2. 4. 1 使用标准孔板
标准孔板的 β = d /D 在 0. 2 ~ 0. 75 左右。为了方便计算可取0. 5。但是由于标准孔板测量精度低,压力损失大,只用于清洁流体。
2. 4. 2 节流装置的设计和计算。
( 1) 已知管内直径和现场布置情况,并且已知流体的性质和工作参数,给出流量测量范围,要求设计标准节流装置。这种情况下的设计只要将自己选择的节流型式,测量范围还有节流元件的开孔尺寸等交给厂家。厂家有完整的手册和软件,可以按照用户的要求来设计。
( 2) 已知管道内径和节流元件开孔尺寸、取压方式、被测流体参数等必要条件。要求根据所测得的差压值计算流量。这一般是实验的工作需要,为了更加精确地求得流量,此时需要我们同时准确地测量流体的温度、压力参数。
3 结论
在实际生活中差压式流量计的优点显著,现在市场上所使用的流量检测装置大部分都是差压式流量计。节流式流量计作为其中的代表应用广泛。在长期的研究和使用中手册数据资料齐全,对我们而言是十分有利的。我们只要按照标准来确定自己的参数大小。按照计算方便和加工容易的考虑。可以适当将一些数值定在一个方便计算的数值,比如 0. 5 或者 1。对于实际生产而言有专门的厂家可以帮助生产。但是也需要用户自己提供节流元件的开孔尺寸、工作参数等要求。按照这种方法,用户可以自己简单精确计算出自己生产中所需的测量装置; 而在实验工作中,要求数据的更加精确和严谨,往往一个数据会保留到小数点后面几位,这样在计算时如果出现平方开根号现象会使得结果更加复杂,导致制作加工难度的上升。如果合理取值后计算结果十分方便,对于计算加工都是有帮助的。这样对于装置的开发可以更加合理,生产力有了更大的提高。
相信在未来节流式流量计会有更大的发展和改善,会有一批优秀的节流式流量计的出现投入到更广更深的市场运用中去。