孔板流量计引起风机进口压损与能耗增加的计算分析
0.引言
流量是决定风机基本气动特性的重要参数之一,无论开展风机基本模型级研究、整机出厂试验,还是风机运行监测均离不开对风机流量进行测量,另外对风机实时运行点流量测量与设计点比较,是评价风机热力与气动性能优劣的基本手段。因此,流量测量与监控还是风机机组长周期安全运行的必要保证与能耗评价手段。
在众多流量测量元件中,孔板流量计因节流件世界通用,且具有使用前无需实流校准、结构易于复制、性能稳定可靠、适应单相及部分混相流、价格低廉等优点。因此,在风机试验研究与工业运行中被广泛应用,尤其在鼓风机和压缩机等应用场合。
孔板流量测量及对机组的影响,目前有文献资料主要研究计量附加误差、进口温度、压力、分子量发生变化时流量的补偿及对防喘振计算方法探讨等问题,但孔板引起风机机组进口压力损失与机组能耗影响尚未见相关文献报道。本文结合笔者完成的工程实例,通过不同进口流量时, 孔板节流后压力、温度、熵增的分析,计算节流孔板引起风机不同运行点进口压力和风机功耗的增加,为从事风机设计、试验、运行的同行提供借鉴,也为开展流体设备降低能耗、系统节能提供新思路。
1 .节流孔板对风机进气条件与能耗的影响分析
1.1 节流孔板引起压力、温度改变
充满管道的流体流经管道内的节流装置,流速将在节流件处形成局部收缩,从而使流速增加,静压力降低,于是在节流件前后产生了静压力差(或称差压)。流体的流速越大,在节流件前后产生的压差也越大,所以可通过测量差压来衡量流体流过节流装置时的流量,这种测量方法是以能量守恒定律和流动连续性方程为基础的。
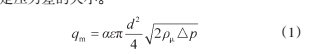
孔板节流装置通过测量孔板前后压差计算流量,流量与压差关系如公式(1)[5],流量系数α的最终值需通过迭代循环获得。而本文为分析计算孔板节流产生的压力损失,通过给定流体流量,最终确定压力差的大小。
(1)
式中,qm 为质量流量,kg/s;α为流量系数;ε为气体膨胀系数;D 为孔板内径,m;ρu 为孔板上游流体密度,kg/m3;△p 为通过孔板的压差,Pa。
1.2 节流孔板引起能耗损失
气体在管道内流经孔板的节流过程为不可逆过程,根据能量方程在忽略节流前后速度差时,经节流后气体静焓仍回到原值,但熵增大,对理想气体温度不变(其它温度按焦-汤规律变化):

式中,hu,hd 为孔板前后气体焓值,kJ/kg;Su,Sd 为孔板前后气体熵值,kJ/kg.s;pu,pd 为孔板前后气体压力,Pa。
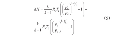
节流后气体经机组等熵压缩升压进入输入管路元件或设备等,对机组来说,孔板节流引起机组有效功增加如下:

式中, H 为增加的有效功,kJ/kg;hc为风机前有节流孔板时,气体等熵压缩至出口压力pc 对应的焓值,kJ/kg;hc为风机前无节流孔板时,气体等熵压缩至出气压力;pc为对应的焓值,kJ/kg;pc为风机出口压力,Pa。
当工作介质为理想气体时,风机压缩过程为可逆绝热,孔板节流引起机组有效功增加可按公式(5)计算:

2 算例分析
本文计算分析工程实例系为台湾某化工厂设计制造的硫磺制酸离心鼓风机,该鼓风机为硫磺焚烧及转化提供所需空气,由汽轮机驱动,于2014年投入工业使用。
鼓风机设计点进口流量 788Nm3/min,总压比1.65,进气:空气(成分/Vol% ,N2:76.63,O2:20.31,H2O:3.06),25℃,101kPa,转速6 560r/min,叶轮三元半开式,主要参数如下:叶轮外径878㎜,叶片出口宽度44.6㎜,叶片出口角45°(与子午面夹角),进、出口叶片数19,叶轮进口直径482㎜,叶轮叶片进口平均直径401mm,叶片进口宽度99.5mm,叶片法向厚度12㎜。
鼓风机进口孔板流量计为防喘系统的一部分,孔板按文献[5]要求设计与安装。
根据风机运行点参数,可计算出进口管路中配置的孔板所导致的风机进口压力相对损失(pu-pd)/pu,见表1。

从表1中可以看出,设计点进口压力相对损失近10%,最小点近3%,最大点近18%,随流量的增加相对压力损失变化如图1所示。

由于进气压力不大,流体可按理想气体处理,即风机进气温度可认为不变,但进口孔板节流对风机进口压力的影响不容忽略,因此,在风机设计时应予以高度注意。
孔板节流引起风机消耗有效功增加,具体计算结果见表2。
从△H,△W,△H'比较可见,有效功增加量可通过查湿空气焓湿图或借用软件RefProp获得,本例介质为理想气体还可用方程4计算获得。孔板节流为等焓绝热熵增过程;孔板节流引起有效功增加与正常有效功比从小流量向大流量区递增,其中设计点约21%。

3.结论
结合工程实例,对不同进口流量时孔板节流后压力、温度、熵增分析,计算节流孔板引起风机不同运行点的进口压力和风机消耗有效功的增加,得到如下结论:
1)从计算结果看,设计点进口压力相对损失近10%,最小点近3%,最大点近18%,这是由于孔板产生的涡流所致[6]。因此,在配置了进口孔板的应用场合中,在风机设计时应考虑孔板节流对风机进口压力的影响;
2)孔板节流引起风机产生消耗有效功增加,可通过查湿空气焓湿图或借用软件RefProp获得,如流体为介质理想气体还可用式(5)计算获得;
3)孔板节流引起有效功增加,与正常有效功比从小流量区向大流量区递增,其中设计点约21%;4)孔板节流元件虽然简单易制造,但流阻较大,会增大风机能耗。因此,在管网和投资成本允许的前提下,可以选择流阻更小的其他流量测量元件如文丘里管或文丘里喷嘴。