气体容积式流量计相对误差测量值的不确定度评定
本文依据 JJG33 - 2005《气体容积式流量计》检定规程。对测量范围: ( 0 ~ 65) m /h 的罗茨流量计使用音速喷嘴式气体流量标准装置检测得到的测量值进行测量不确定度评定,其他类似气体容积式流量计的测量不确定度的评定可以参照本评定。
1.概述
1.1测量依据
JJG633—2005《气体容积式流量计》检定规程。
1. 2 环境条件温度( 15 ~ 25) ℃ 、大气压力: ( 86 ~ 106) kPa,相对湿度( 40 ~ 70) % 。
1. 3 测量标准
音速喷嘴式气体流量标准装置,装置扩展不确定度U = 0. 33% ( k = 2)
1. 4 被测量对象
罗茨流量计: DN80mm; 测量范围: ( 0 ~ 65) m 3 /h; 最大允许误差: ± 1. 0% ; 重复性不超过 0. 3% 。
1. 5 评定结果使用符合上述条件的测量结果,一般可直接使用本不确
定度的评定结果。
2.测量模型
2. 1 根据测量方法建立测量模型
E = Qm - QS × 100%
QS
式中: E—流量计的示值误差; Qm —流量计的累积流量值 m3 或 L;
Qs —与 Qm 同一温度和压力状态下的标准累积流量值,m3 或 L。
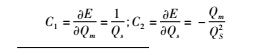
2. 2 灵敏系数

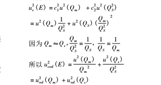
2.3传播律公式
![]()

3. 1 输入量 Qm 的标准不确定度 u( Qm 1 ) 的评定
评定方法采用 A 类评定,将流量调到最大流量点 Qmax ,重复测量 10 次,所得测量列如表 1:

单次测量相对标准不确定度 u( Qm ) = s = 0. 056% 3. 2 输入量 QS 的标准不确定度 u( QS ) 的评定
输入量 QS 的不确定度 u( QS ) 来源主要是由 MJ2210
- 01A 音速喷嘴式气体流量标准装置的不确定度引起的 误差,采用 B 类方法进行评定。MJ2210 - 01A 音速喷嘴式气体流量标准装置的不确定度( 由中国计量科学研究院检定证书提供) : Urel = 0. 33% ,k = 2
Urel ( Qs ) = 0. 33 /2 = 0. 165%

4.合成标准不确定度的评定
4. 1 标准不确定度汇总表
