超声波气体流量计技术关键在于信号传播时间的测量,然而由于在不同环境下信号衰减程度不同,因此很难确定信号到达时间。针对信号错波问题,提出基于自动增益技术与AGA10标准声速相结合原理,实现信号传播时间的数学模型补偿。其中采用最小二乘法三次多项式拟合与线性插值结合的声速实时计算达到了0.01%精度,使得流量计自诊断技术从网络远程校验运用到流量计现场处理,使系统的实时性得到大幅提高。
1.引言
超声波流量计凭借其特有的优势在天然气传输计量领域得到大量应用。国内气体超声波流量计起步较晚,在信号处理等方面远落后于国外企业。目前国外高精度流量计在信号处理中主要采用互相关法计算,由于技术原因国内企业一般采用精度不高的模拟过零检测与阈值比较结合的方法,但该方法受信号干扰与衰减的影响较大。
由于超声波流量计中硬件电路发展的局限性和气体流态的复杂性,仅仅依靠电路设计来提高流量精度与可靠性是很难对精度进一步提升。针对这些问题,文章从信号接收后期处理角度,运用AGA10标准中提到的声速计算对时间精度进行补偿,可有效解决错波问题引发的流量的突变情况。其中声速的计算也是问题的关键所在,AGA10标准中提供的公式计算复杂不能直接计算。目前一些公司主要通过与流量计远程通信获得实测声速,最终用上位机计算的理论声速与实测声速对比进行流量计的自诊断。经过大量实验发现声速计算过程可以简化计算,并实现声速精度满足国家标准下的在线诊断,并实现了流量计传播时间的错波补偿与错误的测量流量的舍弃。
2.声速计算模型
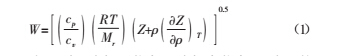
目前国际公认的声速计算方法分别是美国气体协会(AGA)NO.10报告和国际标准化组织(ISO)拟定的ISO20765—1标准提到的天然气声速计算方法。两者计算结果一致,但我国超声波流量计中广泛使用AGA10作为标准声速计算方法。AGA10是在AGA8的基础上对天然气中各热力学常数进行计算,其中声速的最终计算关系式可由式(1)表示:
式(1)中cp为恒压热容;cv为恒容热容;Mr为天然气摩尔质量;Z为压缩因子;ρ为摩尔密度;R为气体常数;T为温度。
声速的计算不仅与气体温度压强有关,而且还受气体的摩尔组分影响。计算过程复杂,仅仅压缩因子Z的计算(参考GBT 17747.2标准)就很难满足文章中所提流量计的实时性要求。因此首先对AGA10方法进行计算机编程、结果采集,并对不同条件下声速值进行分析,在保证准确度的前提下找出适合在流量有计中快速计算的方法以实现声速实时核查功能,为流量计的温压补偿奠定基础。
3.计算软件设计
根据计算模型,编写基于windows平台的计算软件,通过输入温度,压强,气体组分自动计算各热力学参数及天然气声速,软件界面如图1所示:

4.结果分析与处理
在AGA10报告中,声速在温度介于-8℃~62℃、压强低于12MPa时其计算不确定度为0.1%。本文取温度-10℃~40℃,压强小于9MPa的常见范围进行分析;并在 AGA10 中提供的 5 种典型气体中,选取GulfCoast天然气为例对声速结果采集。

选取合适的快速计算方法之前,首先需要观察声速与温度,压强的具体三维曲面图。在MATLAB中对采集到的数据进行曲面拟合,如图2所示。
通过对图2的观察,发现曲面变化比较缓和,没有明显的凹凸点且有一定的规律,适合采用快速计算方法进行计算。首先单独分析声速与压强的二维曲线:对相同温度,不同压强下的数据进行拟合,拟合曲线如图
3;同理相同压强,不同温度下数据拟合曲线如图4:

对图3、图4分析可知:当温度恒定声速与压强大致呈二次曲线关系,而压强恒定时声速与温度基本符合线性关系。因此,方法采用在-10℃~40℃温度范围内每间隔5℃对V-P关系拟合一条近似曲线,当温度不在V-P曲线上时,对温度进行线性插值。然而在对V-P曲线进行拟合时发现,由于压强范围广,很难找到一种关系式使所有点都满足精度要求。进而采取 对 同 一 温 度 下 V-P 曲 线 分 割 的 方 法 ,对0MPa~3MPa;3MPa~6MPa;6MPa~9MPa进行分别拟合。实验表明对三段曲线分别采用最小二乘法三次多项式拟合时,既数学关系式为V=aP +bP +cP+d,
V-P曲线上精度能达到0.005m/s左右,而不在所选取的曲线上时计算精度也达到0.02m/s。由于不同气体组分的拟合三次多项式系数不同,在此仅列出Gulf Coast 组分天然气 , 温度 T 1(0 ℃ < T 1 < 5 ℃)、压强P(3MPa<P <6MPa)时计算公式,此时声速计算过程1 1分为三步, 首先计算相邻两条温度为0℃和5℃时V-P曲线对应压强为P1时的声速,然后对V0(P1)和V5(P1)两点进行线性插值计算求得VT1(P1),如式(2)

由表1可知声速精度达到0.02m/s,通过对其他温度压强范围的声速进行大量验证精度均小于0.04m/s,既拟合精度为0.01%。AGA9报告中指出流量计的声速自我诊断中,流量计实测的声速与AGA10中计算的声速不确定度应在±0.2%内,否则流量计就需重新鉴定。因此0.01%的拟合精度相对于0.2%不确定度范围可以忽略不计。
在实际的应用中,由于同一天然气公司的天然气组分恒定不变,因此流量计的声速拟合系数也恒定不变。温度每隔5℃,压强每3MPa拟合一条曲线就能够实现精度达0.01%的快速计算,同时随着拟合曲线间隔的减少快速计算的精度也将更高。
5.传播时间测量与补偿
超声波接收信号的检测,目前一般采用的是阈值比较与过零检测技术相结合的方法,如图5所示。

该检测方法的关键是电压阈值的设定和过零点的检测,由于信号在传播过程中信号衰减和噪声的影响,所以很难达到理想检测条件。图5所示,实线为正常声波信号,stop1为停止信号,当气体条件发生变化导致信号衰减问题会出现虚线所示情况,此时接收信号停止时间为stop2,最终导致信号传播时间增加一个周期的误差。在实际产品测试中,观察到流速曲线偶尔会出现很大跳跃,经过分析主要原因是由于噪声干扰和错过第一波检测。针对该问题运用自动增益技术与温压补偿相结合可有效抑制错波问题及信号干扰带来的流量突变。
校验方法如下:
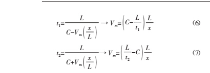
对于单声道气体流量计,由于不同传播方向信号的衰减程度不同,应分别在两个方向设计独立的增益电路,自动增益电路的控制应根据上次测量信号的强弱决定,同时为了尽量减少不必要的干扰,应在接收端设置门限控制,找出信号的最早最晚到达时间。最终测得信号逆流传播时间t1:

通过比较(5)所得实测声速与第4章中计算的标准声速相比较可以满足流量计的实时自诊断功能,如果是流量计本身问题,应该送厂返修。但是对于偶尔出现的信号衰减错波问题,并不能进行有效的解决。针对该问题,利用已知的声速的前提,对式(3),(4)进行变形,由于式中延时时间τ相对于一个周期的信号延时时间可以忽略,因此在校验过程中式(3)
(4)可以改为如下形式:

把实测时间t1、t2分别代入式(6)(7)中,当所求Vm
相差一定范围时说明时间测量错误,同时对错误的时间进行相应周期补偿。对于口径100mm,发射角度
45°,信号频率200KHz,某一特定条件下超声波速度为410m/s的单声道流量计进行分析:

同理,对于口径为50mm,其他条件不变的情况做同样的分析,结果如表3所示:

从表中可明显找出出现错波问题的测量时间,同时对相应时间补偿若干周期使Vm1≈Vm2,此时时间补偿完成。最后把补偿后的时间t1和t2代入式(8)中求得气体流速:
如果补偿后时间仍不满足Vm1≈Vm2要求,说明误差不是由错波问题引起,则舍弃此次计算结果,用前后两次临近测试点的流速平均值代替。比较表2,表3发现口径为50mm的流量计Vm1与Vm2相差较大,而且计算的流速可能会出现负值,明显是错误流量;相对于大口径流量计更容易找出出现问题的传播时间。

6.结论
通过对AGA10报告中声速算法的优化,运用声速 进行实时自诊断,省去了网络远程通信。针对测量过程中出现的信号错波问题,在研究自动增益和过零检测原理的基础上,结合声速的二次检验原理对错误信号进行软件的智能补偿,实验结果分析得知该方法对小口径低流速的超声波气体流量计的测量效果更为明显,针对目前小口径流量计的计量精度不高的现状有进一步的改善。