本文根据孔板、涡轮和超声波流量计的原理,结合库尔勒天然气分输站的气质现状,逐一分析天然气各组分对孔板、涡轮和超声波流量计量的影响程度,进而找到输送天然气精确计量的有效途径,同时,采用在线色谱分析仪对天然气组分进行实时监测,分析并掌握组分含量对流量计量的影响,实现精准计量和效益最大化。
1.流量计工作原理
1.1 孔板流量计
孔板流量计计量系统主要由节流装置、差压变送器、压力变送器和温度变送器构成,通过测量在孔板上下游两侧形成的静压差,从而计算出天然气的工况流量,并统一到标准参比条件下的体积量。
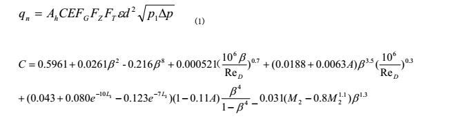
标准参比条件下的体积流量按下式计算:

式中:qn —天然气在标准参比条件下的体积流量,m3/s;
Ah —体积流量计量系数,取 3.1794 ´10-6 ;
C—流出系数,在一定的安装条件下,对于给定的节流装置,该值仅与雷诺数有关











2.4 结果分析
根据上面的计算结果,统计出在假设条件下,单组分测量不准确导致参与计算的气体组分参数与实际组分含量偏差 1%,引起的计量结果偏差见表 2:

从实验结果中可以看出:天然气中各组分测量的精确度对孔板流量计影响较大,对涡轮和超声波流量计的影响相对较小,并且组分的摩尔质量越大,其影响力越大。
我们通过假设来分析天然气组分对流量计量的影响:如果天然气流量为 60000m3/h,甲烷摩尔浓度的误差达 1%,则孔板流量计计量的误差为-210m3/h,年损失量将达到-200万方,超声波和涡轮流量计计量误差为 54 m3/h,年损失量将达到 50 万方。这只是分析了甲烷摩尔浓度的误差为 1%所造成的影响,在实际中,可能各组分分析都会存在一些误差,造成的计量误差将会更大。
3.结论
通过理论计算,分析了天然气各组分的变化对孔板、超声波和涡轮流量计计量的影响,得出精确计量的有效途径:在不影响下游用户安全用气的前提下,加强天然气组分分析精度,提高计量的准确度,同时,我们可以修复在线色谱分析仪对输送的天然气组分进行实时监测,分析并掌握组分含量对流量计量的影响,实现精准计量和效益最大化。