近年来,基于皮托管测速原理发展而来的毕托巴流量计在能源计量方面得到广泛应用,并发挥着重要的作用。文章从测量原理、组成及特点、检定、分类及使用等方面对毕托巴流量计进行阐述。
毕托巴流量计是基于皮托管测速原理 发展而来的一类绕流差压式流量计。差压式流量计是根据流体流过安装在管道中的一次装置产生的差压、流体的条件、一次装置的几何尺寸及管道的几何尺寸来测量流量的流量计。
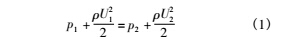
伯努利方程是能量守恒定律在运动流体中的具体应用。对于水平管道不可压缩流体的稳定流,在忽略摩擦水头损失的情况下,伯努利方程的数学表达式为:

式中: p1 、p2 分别为截面 1、截面 2 处流体的静压,Pa; U1 、U2 分别为截面 1、截面 2 上流体的平均流速,m / s; ρ 为流体密度,kg / m3 。
由式 ( 1) 可见,压力下降时,流速增大; 压力升高时,流速减小,这就是差压式流量计工作原理的理论基础 。
1.测量原理
毕托巴流量计的理论基础是皮托管测速原理。皮托管是一根双层结构的弯成直角的金属细管,是用来测量流场中某点流速的仪器,在测量头的轴对称鼻部的顶端迎流方向开有一个总压取压孔A,在测量头的一个或多个横截面的圆周上均匀地开有若干静压取压孔 B,如图 1所示。
图 2 是用皮托管测量圆形封闭管道内流体中心流速的示意图。

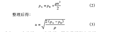
将皮托管插入管道中,使皮托管的鼻部迎着流体流动方向对准管道轴线,则 A 处流体的速度uA = 0,而 B 处流体的速度约为管道中心流速,即B = u ( 管道中心流速) ,设 A 处、B 处的压力分别为 pA 、pB ,将上述各量带入伯努利方程 ( 1 )中,得到:
式中: pA 为总压; pB 为静压。因此只要测出总压与静压之差,即可得到管道中心流速 u。
皮托管只能测量流场中某一点的流速,而流体在管道中流动时,同一截面上各点的流速是不同的,为了得到流量值,应该测出管道截面上的平均流速 U。由于管道中各种阻力件及管道粗糙对流动的影响,很难从理论上给出流速分布的函数和平均流速的位置,所以,用皮托管测量流量,一般是用实验的方法来研究。
对不可压缩流体的稳定流,假设管道内平均轴向流体速度 U = α ·u,pA - pB = p,带入式 ( 3) ,得:

式中: qV 为体积流量, m3 / s; A 为管道横截面积,m2 ; α 为流量系数 ( 速度分布系数) ,无量纲; p 为总压与静压之差,Pa; ρ 为流体密度,kg / m3 。

由式 ( 5) 可知,管道横截面积与流体种类一经确定,只要知道管道内的平均流速与管道中心流速之间的关系,即流量系数 α,通过测得的总压与静压之差就能计算出管道内流体的体积流量。

图 3 是皮托管用于管道测量的实物图,这样的流量计叫毕托巴流量计,此时的皮托管已不同于常规的皮托管,称为检测杆 ( 一次装置) 。
2.组成及特点
毕托巴流量计由一次装置 ( 检测杆) 和二次装置 ( 差压变送器和流量显示仪表) 组成。其测量原理及应用有着悠久的历史,与其他流量计相比,毕托巴流量计具有以下特点。
2. 1 优点
( 1) 结构简单,重量轻,制造成本低。尤其是对大口径管道,与其他流量计相比,此优点尤为突出。
( 2) 安装、拆卸方便,可做成不断流取出型结构,便于维修和更换。对于恶劣的工作环境 ( 如腐蚀、脏污、高温、高压等) ,大大增加了仪表的可靠性。
( 3) 压损小,能耗少,对于大口径管道,压损可忽略不计。
( 4) 适用的流体种类、工作状态和管道直径范围广。
( 5) 稳定性好,维护量小。
6) 对直管段的要求短于其它差压式流量计。
2 .2缺点
( 1) 没有国际 / 国家标准,检测件形状、尺寸难以标准化。
( 2) 流量系数必须经测量才能确定。
( 3) 输出差压低,难以准确测出,影响流量测量的准确度。
( 4) 流体中如有杂质,可能会堵塞取压孔。
( 5) 对大口径流量计,由于缺少标准装置,流量系数的准确性难以保证。
( 6) 由于流量系数与一次装置的结构型式、管道尺寸、安装情况及被测介质的雷诺数等因素有关,因此实验室条件下得到的流量系数在现场应用时,由于上述条件的差异,会给测量带来偏差。
3.流量系数的确定及流量计的检定
( 5) 是毕托巴流量计用于圆形管道的流量计算公式,将 A = π4D2 带入并整理后得:
式中: D 为管道内径,mm。
流量系数 α 必须用流量标准装置对流量计进行测量才能得到。当用毕托巴流量计测量流量时,流量系数 α 为已知量,通过实测的 p、ρ 及管道横截面积或内径,用式 ( 5) 计算即可得到管道内流体的体积流量。
由于流量系数 α 是用实验的方法确定的,所以,无论是出厂时还是在投入使用后,都需要对毕托巴流量计的流量系数进行确定。毕托巴流量计的检定依据是 《差压式流量计》检定规程,检定分 2 种情况。
3. 1 一次装置 + 差压变送器,确定流量系数 α

流量系数反映的是一次装置本身的特性,其大小和线性与一次装置的形状、几何尺寸、工艺条件、使用管径等因素有关。对毕托巴流量计而言,必须确定其流量系数。
毕托巴流量计的流量系数确定后,将其置入到流量显示仪表中,才能得到流量值,确定示值误差。
若流量系数的线性不理想,可在流量显示仪表中对其进行修正,以扩大毕托巴流量计的流量范围,提高准确度等级。
3. 2 毕托巴流量计的检定
将差压变送器的输出信号接入流量显示仪表,检查流量显示仪表的设置,包括管径、单位、流量系数 ( 一个或多个) 、流量计系数 ( 如果有) 、介质种类、密度、粘度、流量范围等,对相关参数进行组态。
对差压式流量计,流量显示仪表的输出一般为 4 ~ 20 mA,对应的流量范围为 0 ~ qmax m3 / h 或 t / h,则:

4.分类及使用
毕托巴流量计由于其结构特点,近年来大量应用于水、空气、煤气、蒸汽等介质的能源计量,尤其在大口径流量测量和满管式流量计应用受到限制,现场条件恶劣 ( 腐蚀、脏污、高温、高压等) 以及无法断流的情况下,毕托巴流量计的应用取得了良好的效果。采用多根检测杆按速度面积法布置,可以解决管道中复杂的流速分布难题,提高测量准确度。
按结构形式,毕托巴流量计可分为断流取出型和不断流取出型; 按用途可分为普通型、防爆型、防腐型、防堵型、高温型等; 按介质可分为液体型、气体型、蒸汽型等,应根据实际情况进行选择。
毕托巴流量计使用时应注意以下几个方面:
1) 管道方面,由于毕托巴流量计由一次装
( 检测杆) 和二次装置 ( 差压变送器和流量显示仪表) 组成,不包括管道,无论是检定还是使用,都需要将一次装置插入到管道中,而管道的形状、尺寸、工艺等都会对测量产生影响,主要
表现在以下两方面: ①横截面积 ( 管道直径) 的差异影响测量准确度。由于采用的标准不同,公称压力、管道壁厚不同,公称直径相同的管道其内径实际上是不同的。所以,检定用管道与使用管道即使公称直径相同,如果壁厚或公称压力不同,不仅横截面积存在很大的差异,而且还可能使取压孔处于偏心状态,都会给测量结果带来偏差。②直管段长度及粗糙度影响测量准确度。实验室给出的流量系数 α 是充分发展管流状态下的,直管段长度和粗糙度都会影响流速分布,如果现场条件不满足充分发展的速度分布,使用实验室给出的流量系数,会影响测量准确度。
2) 安装方面,毕托巴流量计可以安装在管道的任何平面上 ( 水平、垂直、倾斜) 。
对于水平管道,测量液体流量的安装位置如4 所示,测量气体流量的安装位置如图 5 所示。对于垂直管道,毕托巴流量计可安装在管道水平面上,沿圆周 360° 的任何位置上,如图 6 所示; 对于倾斜管道,毕托巴流量计的安装位置如图 7 所示,检测杆的轴线应垂直于测量管道的轴线。


对于大口径管道,如果流速较高,应在管道上安装支承座以便提高安装强度,应保证检测杆与支承座同轴。对高温介质,应考虑材料温度膨胀的影响,因此检测杆安装时应留出一定的间隙。另外,温度变化还有可能使取压孔处于偏心状态,给测量带来误差。
( 3) 介质方面,如果被测的是脏污介质,可能会堵塞取压孔,应采取防堵措施,或定期清洗检测杆。
5.结束语
由于 《差压式流量计》检定规程中没有示值误差的检定方法,这让使用者和检定人员都感到为难。因此笔者建议 《差压式流量计》规程修订时应根据不同类型的流量计 ( 节流式、绕流式) 、不同的检定对象 ( 流出系数 / 流量系数、示值误差) 分别给出检定方法。