根据热式质量流量计的工作原理,以主泵第三级密封泄漏流的测量为例,分析了其在核电厂液体微小流量测量中的适用性,并与现有的测量方法进行了比较。
流量是核电厂运行过程中重要的过程参数之一,常用的流量测量仪表有孔板流量计、超声波流量计、电磁流量计以及热式质量流量计等。热式质量流量计目前多用于工业中气体流量的测量,在核电厂中则普遍应用于通风系统流量测量场合。在采用轴封型主泵的核电厂中,主泵第三级密封泄漏流是典型的微小流量工况。孔板流量计和超声波流量计通常并不适用或不能取得良好的测量效果。热式质量流量计自问世以来,已在核电厂通风系统中获得了成功的应用,而在液体微小流量测量方面,热式质量流量计也具有一定的适用性。
1.热式质量流量计的原理
热式质量流量计是利用热传导原理,即通过流动中的流体与热源之间的热量交换,来测量介质流量的仪表,主要可分为两类: 利用流体流动传递热量改变测量管壁温度分布 ( 即热传导分布)效应的热分布式流量计,也称为量热式质量流量计; 利用热消散效应( 基于金氏定律) 的侵入式质量流量计,也称为导热式质量流量计或插入式质量流量计。
热分布式质量流量计的工作原理是在测量管外壁上、下游各绕两组加热 / 检测线圈,两组线圈通以恒定电流加热,当流体静止 ( 无流量通过)时,两组线圈中心上、下游温度分布处于对称平衡状态,两组检测线圈的电阻相等; 当有流体流动时,流体将上游管壁热量带走传递给下游管壁,破坏原平衡状态,线圈电阻产生差异,检测其差值从而求得流体质量流量:

式中 A ———热传导系数; cp ———被测介质的定压比热容;
K ———常数。
热消散效应( 基于金氏定律) 侵入式质量流量计的工作原理是将两个温度传感器( 一般为铂热电阻) 分别置于管道的流体中,由其中一个铂电阻测得流体本身的温度 T,另一个铂电阻经一定功率的电加热,其温度 TV 高于 T,当流体静止时其温度最高,伴随着管道中流体流量的增加,流体流动带走更多热量使 TV 降低,即可通过温度差求取流量值。基于金氏定律的热丝热散失率为:

H/ L ———单位长度热散失率; V ———流体的流速;
ρ ———流体的密度;
λ ———流体的热导率。
侵入式质量流量计根据对铂热电阻的加热方式,又分为恒功率式、恒温差式和恒比率式。
恒功率式是在加热电路上用一个恒定功率的电能对铂电阻进行加热,流体介质在静态时,被加热的铂电阻和没有被加热的铂电阻之间温度差最大,随着流体介质的流动,被加热铂电阻上温度降低,则两个铂电阻之间的温差减小。恒功率式热式质量流量计是通过测量温差的变化来获得流体介质流量的变化。
恒温差式是加热一支铂电阻,使其比不加热的铂电阻高出一个恒定的温度。随着流体介质的流动,被加热的铂电阻由于散热而导致温度降低,通过反馈电路反馈到处理器增大加热器的电流 ( 也可以是电压) 来保持其温差为恒定值,再通过检测变化的电流( 或电压) 来获得流量的变化值。
恒比率式是在恒温差原理的基础上,通过调节施加在加热端热电阻上的加热电流以保证被加热的铂电阻阻值与不加热的铂电阻阻值成一恒定比率。同恒温差式质量流量计一样,恒比率式质量流量计也是通过检测变化的电流来获得管道中流体的流量值。
2.核电厂中微小流量的测量与热式质量流量计的应用
2.1核电厂中的典型微小流量测量工况在使用轴封型反应堆冷却剂泵( 主泵) 的核电厂中,主泵的第三级密封泄漏流是一种典型的微小流量工况。轴封系统是轴封型主泵的关键部件,其长期可靠运行不仅关系到核电厂的正常运行,也直接影响到核电厂的安全。轴封的功能是保证核电厂正常运行期间从一回路系统沿主泵泵轴向安全壳空间环境的反应堆冷却剂泄漏量基本为零,要求其长期处于高压差工况,并维持可控泄漏率。轴封一旦失效会导致核电厂一回路的压力边界完整性丧失,其泄漏率如果超过了化容系统的补给能力,则会导致潜在的小破口失水事故的发生,影响电厂安全。典型的流体动压型轴封系统通常由 3 道串联机械密封和 1 道停车密封组成,通过降压装置将一回路系统压力分配到串联的各级密封上面,从而降低单级密封承受的压力,增加主泵轴封长期运行的可靠性。通过三级降压,主泵第三道密封之后压力降低至大气压。考虑到若主泵第三级密封泄漏流流量过大,说明密封可能已磨损或损坏,流量过小,则对密封面的散热和润滑不利,而影响轴封寿命。因而在核电厂正常运行工况下,主泵第三级密封泄漏流的流量约为 5L / h 左右,当流量达到 50L / h 时,则需要产生报警提醒操作员。
2. 2 常用的主泵第三级密封泄漏流量测量方法目前在多个核电厂( 例如秦山核电) 中,采用容积式流量测量的方法,即通过液位仪表测量主泵密封泄漏流量在容器中的变化速率来推算泄漏
流量。测量示意图如图 1 所示。

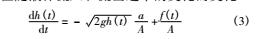
容积式流量测量装置一般由容器( 允许流入和流出) 和液位开关组成。当正常运行时,容器内的液位随液体流入和流出速率的变化而变化:

式中 a ———容器下泄口的面积;
A ———容器的截面积; f( t) ———泄漏流的瞬时流量;
h( t)———容器内液位。
当流量增大时,流入容器的流量大于经容器下泄口流出的流量,容器内的液位开始上升。当上升至容器内的设定点时,触发液位开关动作,发生报警,表明第三级泄漏流的流量过大。若将液位测量仪表由液位开关改为液位变送器,并配合数据采集和处理系统,则可获取泄漏流实时流量。
2. 3 热式质量流量计的适用性
考虑到容积式流量测量装置结构较复杂,安装维护和校准不方便,有必要在满足精度和抗震性能要求的前提下,采用安装和维护方便的其他形式流量测量仪表。热式质量流量计已在气体流量测量领域获得了成功的应用,具有无可动部件、压损小及量程比宽等特点,例如在核电厂的通风系统中,已成功地替代皮托管成为重要的测量方式。但在液位流量测量领域,热式质量流量计的应用仍具有局限性。
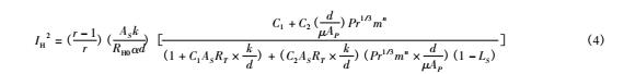
由式( 2) 可知,热丝的热散失率与流体的热导率、比热容、流速和密度有关。相对于通风系统中的空气来说,水是一种具有较大比热容、较大密度和热导率的介质。在相同的流速下,水带走的热量远大于空气,对于以恒定功率加热热端铂电阻的恒功率型热式质量流量计,为了适应水流量的测量,加热电路会采用比较高的加热功率为热端铂电阻进行加热; 对于恒温差型的热式质量流量计,为了维持两个铂电阻之间恒定的温差,加热电路同样会处于比较高的加热功率状态下,且加热功率将随水流量的增大而增大。因而,无论是恒功率型还是恒温差型,加热功率的提高会对流量计的安全性和寿命有很大的影响,也使其应用环境造成一定的局限性。而恒比率式流量计由于通过调节施加在热端热电阻上的加热电流,使热端热电阻的阻值与冷端热电阻的阻值成一恒定比率,因而同恒温差式流量计相比,在测量相同流速流体的情况下,恒比率式流量计热端铂电阻的加热电流要小于恒温差式,因而其加热功率不会过高而产生仪表安全性和使用寿命方面的不利影响。对于主泵第三级密封泄漏流这种微小流量的测量,相对于恒功率式和恒温差式,恒比率式热式质量流量计具有更好的应用价值,然而对于较大液体流量的测量则并不适用。恒比率式流量计的热端铂电阻加热电流 IH 与介质质量流量 m 的关系为:

式中 AP ———流体流经管道的截面积;AS ———传感器参与热交换部分的表面积; C1 、C2 ———通过校准确定的常数;d ———热电阻传感器直径; k ———流体热导率;LS———传感器损耗能量的因数; n ———校准过程中通过回归确定的指数;
Pr ———流体的普朗特数;
C ———冷端铂电阻阻值;
C0———冷端铂电阻在 0 时的阻值;
H ———热端铂电阻阻值;
H0———热端铂电阻在 0 时的阻值;
r ———恒比率参数 ( 自加热系数) ,r =
α ———铂电阻的参数。
2. 3. 1 基本性能
热式质量流量计作为一种直接测量质量流量的智能型流量仪表,具有结构简单、体积小、数字化程度高及安装方便等优点。热式质量流量计的测量精度一般约为 ± 1% ,重复性为 ± 0. 2% ; 量程比宽可达 100 1,最高可达 1000 1; 在 - 40 ~ 60 的环境温度下可正常工作; 可耐受 3MPa 或更高的管道压力; 允许介质工作温度 - 70 ~ 400 ; 允许被测液体的流速为 0 ~ 4m / s; 支持 HART 协议。另外,具有压损小、直管段要求低和允许动态修正的特点,其响应时间较长,未采用特殊设计时可达几秒。热式质量流量计具有一体式和分体式两种结构,在累积辐照剂量较大区域,可采用分体式流量计进行测量,信号处理部分布置于累积辐照剂量较小区域。
主泵第三级密封泄漏流正常工况下在 5L / h左右,达到 50L / h 时报警,不用于过程控制。在电厂正常运行工况下,测点所在区域的环境温度约50 以下,工作压力小于 0. 6MPa,工作温度小100 ,要求测量范围的量程比约为 30 1,属于非 1E 级测点。因此,就测量要求而言,热式质量流量计适用于主泵第三级密封泄漏流量的测量。
2. 3. 2 抗震性能
由于主泵第三级密封泄漏流测点位于安全壳内,周围存在 1E 级仪表和核级管道,尽管测点本身不需要在设计基准事件工况下执行功能,但不应对其他需要执行功能的设备或仪表造成损害,因而用于该测点的仪表应满足抗震要求,在 SSE地震载荷下,满足结构完整性的要求,避免放射性物质经仪表破口向环境释放以及对周围 1E 级仪
表和核级设备产生潜在危害。
热式质量流量计结构简单,除进行抗震试验外,抗震分析亦可用于分析其抗震性能。在抗震分析中,需要重点对薄弱部位进行应力分析,通常包括传感器与管道相交的节点处、螺纹连接处及法兰连接处等位置。
对某一型号热式质量流量计进行抗震分析,取三向峰值加速度为 6g。通过应力分析表明,流量计的第一阶自振频率大于 33Hz,在地震载荷作用下,薄弱部位的计算应力值均小于规定的应力限值,从而认为其在 SSE 地震载荷下,结构完整性可以得到保证。
2. 3. 3 耐辐照性能
因主泵第三级密封泄漏流测点位于安全壳内,在电厂正常运行工况下,探头所处的环境具有一定的电离辐射存在。因而,用于该测点的仪表应能经受一定的累积辐照剂量而测量结果仍在要求的测量精度范围内。目前,对于仪表的耐辐照性能,主要采用试验法进行验证。
对某一型号分体式热式质量流量计探头进行耐辐照试验,辐射源采用钴 - 60,试验时间持续40h 以上,累积辐照剂量约 2 × 104 Gy,辐照后进行功能试验,流量计的输出维持在测量精度范围内,表明该型流量计可以经受若干年的累积辐照剂量而不损坏。
2. 3. 4 安装
为便于安装和维护,流量计可采用法兰 -法兰连接的形式。在一般情况下,为了满足测量精度,热式质量流量计对于前后直管段的要求较高,部分型号的流量计要求的直管段长度可达到前 15 D、后 5 D 以上。但由于流量计允许动态修正,经过标定和修正后,可降低热式质量流量计的前后直管段要求。对于主泵第三级密封泄漏流的测量,热式质量流量计可满足安装和维护要求。
2. 4 水流量测量试验验证
热式质量流量计在出厂前均经过出厂标定,以确保其性能满足要求。此外,为了验证流量计在主泵第三级密封泄漏流量测量场合的适用性,搭建了模拟试验装置如图 2 所示。试验装置由玻璃转子流量计、压力表、Swagelok 计量阀和管道组成。流量计探头安装在压力表和阀门之间,测量信号通过电缆送至流量计的数据处理单元,并最终在显示仪上进行显示。计量阀用于调节试验装置的流量,玻璃转子流量计测得的结果作为热式质量流量计测量结果的参考,压力表用于试验装置试验过程压力的测量。

由于主泵第三级密封泄漏流的流量在正常运行工况下约为 5L / h 左右,当达到 50L / h 时需要发出报警。因此,试验点可适当取为 5L / h 以下、5L / h、5 ~ 50L / h 和 50L / h 以上。通过调节计量阀达到各选取试验点的流量,将热式质量流量计的测量结果与玻璃转子流量计测量结果进行对比,结果显示,热式质量流量计的结果与玻璃转子流量计的结果是相符的。
2. 5 布置设计
采用热式质量流量计替代容积式流量测量装置测量主泵第三级密封泄漏流量,对于简化泄漏流管道布置和仪表安装具有一定的积极作用。然而为了确保流量计正常工作,以及安装和维护方便,流量计的布置也需要采取一些措施。一般泄漏流管道的通径采用 DN25mm,由于泄漏流量小,在电厂运行过程中,可能出现泄漏流管道内介质不满管的情况,这一情况对于流量计的测量是不利的。为了满足流量计测量条件,采取如下措施:热式质量流量计自带管道采用通径较小的管道,如 DN8mm,与泄漏流管道通过异径接头进行连接; 在流量计下游适当位置设置一段向上的坡度后再向下接至下泄管道,替代直接向下接至下泄管道的做法。通过上述措施,避免泄漏流管道内出现介质不满管的情况。另外,流量计与管道采用法兰安装,以简化安装和维护。
3.结束语
尽管热式质量流量计的响应时间较慢,但对于核电厂中对响应时间要求不高的液体微小流量测量场合,它提供了另外一种选择。除热扩散式质量流量计外,近些年出现了基于珀尔帖效应的制冷型热式质量流量计,对于液体流量的测量,也表现出一定的适用性。新型仪表的出现,为过程测量提供了新的方法,但其实际应用需基于充分地分析和验证。