为了减少标定成本,电磁流量计干标定越来越受到重视。 干标定理论中虚电流是一个重要的概念。本实验探究了通过实验测量虚电流势的方法。 采用去离子水做测量介质,在两电极间施加低频方波电压,测得圆柱形流量计横截面上的电势数据,并与理论电势分布进行对比,验证了理论数据与测量结果的一致性。
0.引言
电磁流量计是根据 Faraday 电磁感应定律制成的测量导电流体体积流量的一种感应式仪表,它具有压损小、量程宽、精确度高等优点。 电磁流量计的标定分为实流标定和干标定两种,实流标定精确度高,但是成本也较高 。 对于大型的电磁流量计,干标定成了更好的选择。
目前干标定还处于研究探索阶段,在干标定理论中,Bevir提出电磁流量计两电极之间的电势差
。在流量计内部的值主要采用计算的方式获得 ,虽然计算模型在不断完善,但目前并没有一个广泛适用的模型。本研究的目的就是探究实验测量虚电流势 G 分布的方法,同时与计算的结果进行比对,验证计算的合理性。
1.实验原理和方法
实验装置图如图1 所示。

实验采用一个外径为 100.2mm,内径为 94mm的有机玻璃管作为测量管,管壁中段中心位置打一对直径为3mm 的通孔,装上铜电极。 将有机玻璃管一端密封,注满去离子水。
使用 Agilent 33220A 信号发生器产生频率为20mHz 的方波作为信号源连接到测量管两端的铜电极上,设定占空比为 50%,峰峰值为0 ~1.0V,高阻抗输出模式下,用信号发生器测量该信号的峰峰值为0 ~2.02V。 因为液体水有电容效应,所以测量虚电流势最好使用直流电,但是直流电又存在水的电解问题,综合考虑,这里采用 20mHz 低频方波作为信号源。 经测试,此信号源的直流段能满足测量需求,且没有明显的电解效应。
取一根长直铜导线作为测量电极,固定于三维坐标架上。 三维坐标架定位精度为 0.1mm。 使用Tektronix TDS 2024B 示波器测量电势信号,示波器的正极接在测量电极上,负极与信号发生器负极连接。 通过调节三维坐标架,我们可以测得不同位置的电势值。
2.实验的测量与结果
2.1 实验数据的测量
首先定义电极平面的坐标如图2 所示。

X 轴为穿过管壁电极的坐标轴,Y 轴为穿过圆心并与 X 垂直的坐标轴。 由于圆管的内径为94mm,所以圆心坐标为(0,0),电极 1 坐标为(47,0),电极 2 坐标为( -47,0)。
由于三维坐标架的测量范围有限,所以在测量电极1 到电极 2 轴线上的数据时,要分两次测量。先测出电极1 到圆心的数据,然后调整坐标架,测出电极2 到圆心的数据。 测量垂直于电极1 到电极2轴线的数据时,在靠近电极附近的区域,由于测量范围较小,三维坐标架可以一次完成测量。 而在测量远离电极的区域时,由于测量范围较大,三维坐标架必须分两次完成测量, 先测量电极轴线上侧(即图 2 中 y >0 一侧)的数据,然后调整坐标架,测量电极轴线下侧(即图2 中 y <0 一侧) 的数据。 通过这种方法测得的数据会有一定的测量误差。
测量数据时,移动三维坐标架到测量点,等待一段时间,大约3min,数据稳定后,从示波器上读出该测量点的电压值。
2.2 实验测量结果
由实验测得的约1200 个测点的数据,通过surf-er(8.0 版本) 插值白化得到虚电流势的 3D 表面图和等值线图,见图3 和图 4。


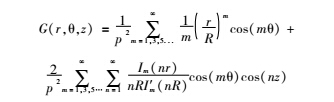
如果将电极1 和电极2 看作是点电极,则可以求解出虚电流势的理论解为 :

式中:G 为虚电流势,( r,θ) 为极坐标,Im 为虚宗量
Bessel 函数。
式中起主要作用的是第一部分求和的值,所以可以用第一部分来得到一个虚电流势函数的近似分布图,这样可以简化计算。 使用 matlab 计算得到的此理论虚电流势分布图见图 5。

为了更好地对比试验测量数据和理论计算结果,我们取出两电极连线上的电势数据,并进行归一化,如图6 所示。

从图6 中我们可以看到,理论值与实验测量结果具有一致的变化趋势,在两端电极附近,虚电流势变化剧烈,在稍微离开电极一定距离后,电势变化就迅速趋于平缓。 另外我们可以看到,理论值和实验值并没有完全重合,主要原因可能是电极本身的几何形状不完全相同,另外我们实验使用的两个电极的安装位置不完全对称。
圆柱横截面上的虚电流电势分布与理论分布具有一致性,都是具有两端电极处电势变化剧烈,中间大部分区域,电势分布平坦的特点。 今后我们可以进一步改进计算模型,使计算模型与实际的电磁流量计更加符合。 例如,有人就提出了包含电极尺寸及位置信息的电磁流量计干标定模型。
本文探究了通过实验测量虚电流势的方法,如实验测量精度能进一步提高,则今后可进一步研究理论计算与实验测量相结合,提高电磁流量计干标定精度的方法。 理论计算的精度受限于所建立的模型的精度,而实验测量却恰好能够弥补理论计算这方面的不足。