苏里格气田气井计量为带液计量模式,现有流量计无法测量单井产液量。为解决苏里格气田气井产气量、产液量的准确计量问题,现场开展 XF - 2006TZ 气液两相流量计试验。XF - 2006TZ 气液两相流量计采用改进的锥形孔板噪声法计量,在气液两相流通过流量计孔板时,在孔板两侧中存在着差压噪声,这种噪声与两相流的流量、质量、含气率密切相关,从而可以计算出气、液两种介质的流量。现场试验表明,新型流量计能稳定地在气液两相流中同时计量各相流量,气量计量误差小于 5% ,连续产液井液量计量误差小于 10% ,基本满足现场对气井产气量、产液量的精度计量要求。
长庆油田分公司苏里格气田生产模式为气井井筒投放节流器,利用地温加热防止井筒冻堵、井口不加热、不注醇、单井带液计量、地面单井串接入干管、干管接入集气站、站内外输压缩机增压。井口来气使用旋进漩涡流量计计量,对单井产液量不能单独计量,给气田动态分析及后续的排水采气研究带来诸多不便 。XF - 2006TZ 气液两相流量计采用孔板噪声法计量,可对产气量、产液量分别计量,从而对气田动态分析、气井排水采气和地面管线清管等工作中掌握单井产水量情况,采用合理的排水采气工艺及时有效地排出井筒积液和地面管线积液有积极作用。
气液两相流量计孔板结构及技术适用于干净的流体,气井中有起泡剂、钻井液等化学药剂,有游离水、泥沙等固体杂质,除对孔板节流件的锐角有损伤外,还容易在孔板前端形成堆积物影响测量,基于以上原因,经过室内及现场试验,使用有效保护孔板锐角耐磨、自清洁的锥形孔板,可确保孔板噪声法在苏里格气田气井现场的测量应用。
一、技术分析
针对苏里格气田气井具有产量低、不确定性带水的特点,为解决气井产液量、产气量的准确计量问题,研究 XF - 2006TZ 气液两相流量计计量技术,开展现场试验。
1. 工作原理
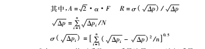
气液两相流通过孔板时,在孔板两侧中存在着差压噪声,即差压脉动。这种噪声是两相流动的固有特性,与两相流的流量、质量、含气率密切相关。传统的两相流测量,将噪声视为对被测量的干扰而设法消除或减小,而现代测量技术则将噪声视作被测量的信息载体 由噪声得到两相流的相关参数 。气液两相流量计应用一块标准节流孔板配以差压变送器、压力变送器、温度传感器,可以根据差压测量平均值及其方差,计算出气、液两种介质的流量。
对于气液连续流数学模型为:


式中: K、K'—修正系数; G—质量流量; Gg —液相质量流量; Gl —气相质量流量; C—相浓度,即体积相比份; ε—热膨胀系数; ρg —液相密度; ρl —气相密度; β—节流装置孔径比; α—为孔板流量系数; F—孔板面积; p—孔径前后差压; R—差压方根相对方差。
2. 流量计结构
气液两相流量计由锥形孔板、整流器、压力变送器、一体化仪表及计量直管段组成。图 1 为流量计结构图。
流量计特点: 具有自动修正功能; 结构紧凑、体积小、易于维护; 测量范围宽,如果大范围改变量程可更换锥型孔板。

2. 1 锥形孔板
锥形孔板具有耐磨、防堆积及自清洁特性。气液两相流量计将易损伤及形成堆积物的标准孔板改进为锥形孔板,减少了孔板的损耗,且锥形孔板的量程比为 10 ∶ 1,减少了因产量变更导致的孔板更换率。图 2 为孔板示意图。

2. 2 整流器
管路中液体流速分布不均匀和旋混流的存在,是影响流量计计量的主要原因。整流器可均匀、简化流态。苏里格气田单井普遍低产,间歇出液,雾状流、段塞流等各种流态交替出现。为简化流态,设计了整流器,垂直安装在孔板上游管道内,对层流、波状流等起到雾化作用,使管输流体在仪表检测上的响应特征趋近于“雾状流”和“段塞流”。
2. 3 一体化仪表
2. 3. 1 仪表通讯
仪表压力和差压为电流信号,温度为电阻信号,表内提供馈电,差压为内部采集,通讯信号为RS485,供电电压为 24VDC。最大功率为 1 W。仪表支持 Modbus RTU 通讯协议,通过 RS - 485 接口可以实现数据传输要求。
2. 3. 2 仪表参数
仪表操作界面包括实时压力 p; 实时温度 T; 气瞬时流量 Qg ; 气量累积值 Σg ; 液瞬时流量; 液量累积值 Σs ; 昨日日均气产量 Qg ; 昨日日均液产量 Qs ;
R 平均值 RR; 气体综合密度 B; 流量瞬时差压 P;差压噪声 R 12 组显示数据,这些数据为仪表的计量数据,主要使用数据为压力、产水量和产液量数据。
2. 4 主要技术参数
测量范围: 气量 ( 08) × 104 m3 /d,液量 0 ~ 20 m3 /d。
具体根据现场流量更换孔板来实现不同的量程范围。
计量精度: 气相 ± 5% ,连续产液相 ± 10% ,间歇产液相 ± 20% 。
环境温度: - 30℃ ~ 75℃ 。
压力等级: 4. 0 MPa、6. 3 MPa、10 MPa、25 MPa。
二、试验数据
1. 室内试验
通过室内高效气液混合器模拟现场天然气工况,使得室内条件尽可能的符合现场工况。先采用单相流量计计量气量,再用高效气液混合器混合,用在线两相流量计对气液两相流量计进行计量,再在末端连接现场标定装置进行分离计量,最后进行数据对比分析。室内实验数据如下表 1。


由表 2 中可以看出,产气量计量误差小于 5% ; 连续产液井液量计量误差小于 10% ,间歇产液井液量计量误差小于 20% 。计量精度在允许范围内。
3. 区块试验数据
通过对苏 X 区块使用气液两相流量计的单井产气量和相关集气站站内产气量统计分析,苏 X 区块月计量产气量、月计量产液量如下表 3、表 4。

通过对表 3、表 4 的分析可得到: 苏 X 区块月气量偏差波动范围小于 ± 1% ,月液量偏差波动范围小于 ± 6% ,在气相、液相计量精度范围内。
三、结语
( 1) 现场试验表明,气井气液两相流产气量计量误差小于 5% ,连续产液井液量计量误差小于10% ,间歇产液井液量计量误差小于 20% ,符合精度要求,满足苏里格气田现场生产需求。
( 2) 通过在苏里格气田的应用,气液两相流量计计量区块月气量计量精度为 ± 1% ,计量区块月液量计量精度为 ± 6% ,计量精度符合生产要求。
( 3) 气液两相流量结构紧凑体积小、安装方便、测量参数多范围广。
( 4) 通过气液两相流量计的现场应用,对单井产液量有较为准确的认识,对气井排水采气工作、动态分析及清管作业等具有重要意义。