针对现场污水流量计在线校准问题,提出了小量程比条件下定点量传溯源的方法。 首先在实验室对插入式超声波流量计进行溯源,然后将经过实验室溯源的插入式超声波流量计作为校准标准器,对现场污水流量计进行了校准实验。 结果表明:在小量程比定点量传溯源条件下,插入式超声波流量计对现场污水流量计的校准结果能够满足示值误差的要求,同时表明插入式超声波流量计可以作为标准器实现对现场污水流量计的校准。另外,该方法为现场污水流量计的校准开辟了一条新路,能够解决现场污水流量计的校准难题。
0.引言
污水流量计作为污水流量计量中的重要组成部分,主要用于污水的流量计量,为贸易结算、环境监测、综合治污、过程控制等提供数据。 随着污水流量计的应用数量的增加和使用年限的增长,如何判断和保证其准确可靠、实现污水流量计的可靠量值传递工作逐渐成为污水流量计使用中的主要问题。
为了更好的判断并保证污水流量计运行的可靠性及准确性,实现污水流量计量值传递的准确,目前采用的方法主要是定期对流量计进行检定或校准,包括三种方式:一是离线检定或校准方式,就是将污水流量计从管道上拆卸下来送到计量技术机构的流量标准装置上进行检定或校准,然后重新装回;二是在线比对方式,就是采用一种经实验室检定或校准过的流量计作为标准器,对现场安装的污水流量计进行在线比对法;三是电参数检验方式,就是对污水流量计的传感器和转换器的电参数进行测量, 间接判断污水流量计的计量可靠程度 。
离线检定或校准方法尽管在一定程度上满足了电磁流量计检定或校准的要求,但也凸显出了较多的局限性,主要表现为:1) 很多情况下不允许断流,流量计不能拆卸进行检定或校准;2) 口径较大流量计难以拆卸,无法送检;3) 拆装费时费力且成本较高;4) 难以实现实流离线校验与实际使用时流量计计量性能的一致性。 另外,目前常采用的在线比对方式和电参数检验方式也同样存在现有条件下难以克服的缺点:a. 在线比对方式一般采用外夹式超声波流量计作为在线比对标准器,而外夹式超声波流量计探头受人为安装影响较大,无法实现多次安装的重复性,进而难以保证其测量值的准确可靠;b. 电参数检验法难以确定电参数测量与流量测量值之间的函数关系。
由以上分析可以看出,目前判断并保证污水流量计运行的可靠性及准确性的方法均存在一定局限性,无法更好的实现对污水流量计准确可靠的量值传递。 由于现场安装的污水流量计在使用过程中,其流速范围变化一般较小( 一般不超过 1 : 5) ,为克服上述局限性,实现对污水流量计的准确可靠量值传递,本文从一种新的思路出发,提出了一种小量程比条件下定点量传的方法,根据该方法采用测量重复性不低于 0. 5% 的插入式超声流量计进行了量传溯源实验, 取得了较好的实验结果。
1 插入式超声波流量计定点量传溯源的条件和方法
1. 1 插入式流量计定点量传溯源条件
如下条件可作为插入式超声波流量计的定点量传溯源条件:
1) 相同的安装管段。 管道口径、插入式超声波流量计探头在管段上的安装位置相同。
2) 相同的安装重复性。 插入式超声波流量计探头多次在同一安装管段或在多个相同的安装管段上安装时,其安装方位、插入管段深度应保持一致,即探头安装的重复性应一致。
3) 相同或相近的流量溯源点。 用插入式超声波流量计在线校准污水流量计时,插入式超声波流量计在实验室溯源的流量测量点应与被校污水流量计的流量测量点相同或接近,即用于校准的插入式超声波流量计与被校污水流量计的流量溯源点应一致。
1. 2 检测方法
1) 在满足测量条件的位置预埋与污水流量计口径相同的现场安装管段;
2)确定现场污水流量计流量测量点;
3)根据现场污水流量计安装管段口径、流量测量点,将插入式超声波流量计在实验室对应的安装管段上进行量值溯源;
4) 将溯源完毕的插入式超声波流量计按照实验室溯源时的安装位置安装到现场安装管段;
将被测现场污水流量计的瞬时流量( 或累积流量) 与安装完毕的插入式流量计的瞬时流量( 或累积流量) 进行比对,实现现场流量计的定点校准。
2.实验室液体流量标准装置及条件

实验室用于插入式超声波溯源的水流量标准装置的系统框图如图 1 所示。 主要由动力设备、水源稳压设备、标准流量计、前直管段、实验段及后直管段等六部分组成;其中试验段中安装有与现场安装管段相同的插入式超声波流量计安装管段。
3.实验结果及分析
1 插入式超声波流量计的量值溯源实验
在图 1 所示装置上,根据现场污水流量计的定点校准条件、检测方法,将插入式超声波流量计安装在与现场安装管道相同的管段上,并将管段安装在实验装置上,然后进行第一次流量溯源实验;实验结束后,将插入式超声波流量计探头从溯源管段上带压拆卸下来, 然后在保证安装重复性的前提下,将插入式超声波流量计探头重新安装到溯源管段上,进行第二次溯源实验( 为保证插入式流量计探头安装的重复性,在安装插入式超声波流量计的安装管段上安装了特制的安装定位装置,从而保证了插入式超声波流量计的安装重复性) 。 溯源实验的管道口径为 D = 300mm,流量分别为 q = 1000m3 ·h - 1 、500m3 ·h - 1 、200m3 ·h - 1 ,实验温度为常温。


两次实验得到的插入式超声波流量计定点溯源结果如表 1 所示。由表 1 可以看出:
1) 两次溯源实验中相同流量点下的平均示值误差差别较小,说明在相同的安装管段、相同或相近的流量点和保证安装重复性的条件下,插入式超声波流量计可以较好地实现对流量的准确、 重复测量;
2) 每个流量溯源点每次实验得到的三组数据的测量重复性较小,说明插入式超声波流量计对流量进行测量时,具有较好的测量重复性;
3) 随着流量的减小,插入式超声波流量计的示值误差逐渐增大,这一规律符合超声波流量计测量示值误差的一般变化规律;
4) 上述结果表明,插入式超声波流量计在满足定点量传溯源条件的情况下,可以作为标准流量计实现对现场污水流量计的校准。
3. 2 插入式流量计的现场校准结果
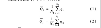
按照本文提出的插入式流量计的量传溯源条件和检测方法,将经过实验室溯源的插入式超声波流量计安装到与实验室溯源时相同的现场安装管段上,对被测流量计进行同步定点计时校准,得到同步计时时间段内插入式流量计的 N1 ( N1 不小于 6 组,读数间隔不大于 0. 5min) 组瞬时流量 q11 , q12 ,…,q1N1 和被测污水流量计的 N2 ( N2 不小于 6 组,读数间隔不大于 0. 5min) 组瞬时流量 q21 ,q22 ,…,q2N2 ,并对插入式流量计和被测污水流量计的平均瞬时流量分别按式(1) 和(2) 计算。

式中:Q1 为同步计时时间段内插入式流量计的平均
瞬时流量,m3 ·h - 1 ;Q2 为同步计时时间段内被测污水流量计的平均瞬时流量,m3 ·h - 1 。
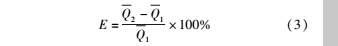
根据得到的瞬时流量,按式(3) 计算被测污水流量计的示值误差:

实验时校准的流量点同样为 q = 1000m3 ·h - 1 、
500m3 ·h - 1 、200m3 ·h - 1 ,则在这三个流量点下得
到的现场校准数据及根据式(1) 、(2) 和(3) 计算得到的结果如表 2 所示。

由表 2 可以看出:
1) 在与实验室相同的流量溯源点下,用插入式超声波流量计对现场污水流量计进行校准的最大示值误差为- 1. 97% ,能够满足现场条件下,污水流量计示值误差的测量要求( 一般现场条件下,污水流量计测量示值误差满足 ± 2% 即认为符合要求);
随着校准流量的减小,用插入式超声波流量计对现场污水流量计校准的示值误差增大,这一变化趋势符合一般流量计的示值误差变化规律;3) 对现场污水流量计校准结果表明,采用插入式超声波流量计可以实现对现场流量计的校准。4.根据本文提出的小量程比条件下定点量传溯源的方法 首先采用测量重复性不低于0.5%的插入式超声波流量计在实验室进行了溯源实验,然后在与溯源流量点相同的流量下,将经过实验室溯源的插入式超声波流量计作为标准器,对现场超声波流量计进行了校准实验,结果表明:在满足本文提出的定点量传溯源条件下, 测量重复性不低于0. 5% 的插入式超声波流量计可以作为标准器实现对现场污水流量计的校准。 这一结果为现场污水流量计的校准开辟了一条新路,能够解决现场污水流量计的校准难题。