皂膜流量计作为一种简单、实用的流量测量装置,在工业生产、理化分析和科学实验等各个领域具有广泛的应用。传统的皂膜流量计具有结构简单、使用方便、成本低等多种优点,但与此同时,其简单的结构也带来了多种误差来源,对测量结果有着大小不同的影响。该文着重讨论了传统皂膜流量计的一些主要误差来源以及这些误差对实验结果的影响。其次,通过比较的方式,指出了传统皂膜流量计和电子皂膜流量计使用过程中存在的一些问题。最后,针对这些对于实验结果影响较大的误差来源和使用过程中存在的问题,提出一些改进方法,以期获得更为满意的实验结果,发挥皂膜流量计低成本、高精度的流量测量优势。
皂膜流量计是我国规定的标准流量计之一,具有结构简单、测量结果准确等优点,被广泛应用于科研、教育、工程测试等领域,完成流量检测与流量校准等工作。目前,测量流量的装置有很多,例如:转子流量计、涡轮流量计、孔板流量计等,不同的实验装置有不同的应用领域以及各自的优缺点。传统的皂膜流量计采用手掐秒表计时和挤压皂液启膜等操作,操作麻烦,准确度低,具有广泛的误差来源,对于实验结果有着大小不同的影响。因此,找出并且分析这些实验误差来源对于实验结果的准确性界定就显得犹为重要。
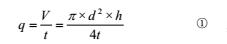
1.实验原理
传统的皂膜流量计主要由橡胶囊和皂膜管组成,其中橡胶囊与皂膜管之间通过三叉玻璃管连接,三叉管的另一端接外来气源。挤压橡胶囊内的肥皂液便可产生皂膜,在外来气的推动作用下皂膜沿管壁以一定的速度上升,根据标定皂膜管的体积以及测量皂膜经过该体积所需要的时间,便可得到外来气的流量。为便于分析,我们假设皂膜管为圆柱直体型,即整个皂膜管在标定体积内内径相同。具体计算公式如下:

其中, q —流量,m3/s;d —皂膜管内径,m; h —标定体积的皂膜管上下刻度线高度差,m; t—皂膜经过标定体积所用时间,s。

2.误差来源
膜流量计的误差来源是多种多样的,有些是仪器本身的系统误差,有些是人为操作误差,还可为由外部环境变化引起的误差。从式①中我们可以看出,对于仪器本身,误差可能来源于皂膜管内径,皂膜管的标定高度以及时间的测定。环境因素主要考虑温度和压力的影响。具体来说,可以分为以下几种类型。
2.1皂膜管体积变化引起的误差
皂膜管的标定体积引起的误差可以分为皂膜管自身体积变化引起的误差和测量过程中对体积的测量和计算引起的误差两部分。
皂膜管内径和高度一经标定,其大小可近似认为只受温度变化的影响。玻璃的线膨胀系数的变化范围在数量级。取皂膜管的线膨胀系数为2×,皂膜管内径为10 cm,上下标定高度差为60cm,正常使用过程中,环境温度变化一般不会超过20K,因此,在温度可能影响的最大限度内,变化后的皂膜管直径变为(2×0.1×20+0.1)m,变化率为0.004%,标定高度变为(0.6+2×)m,变化率为0.004%,根据圆柱空间的体积公式可知皂膜管的体积变化率为0.012,且应用皂膜流量计的实际场合中温度不会有如此大的变化,因此皂膜管内径引起的流量误差应远小于0.012,可见这种变化对于实验结果的影响完全可以忽略。
2.2测量体积误差
由式①可知,皂膜流量计在使用的过程中需要人为或者利用传感器等确定皂膜在管中的位置,根据两位置的高度差求出皂膜经过的体积,从而计算出流量。一般来说,传感器测量精度要明显优于人为读取,且方便操作,是对操作者劳动力的一种解放。目前市场上所售的各电子皂膜流量计的一般会有1%的误差,一般根据实验者的实验需求选择。当然,误差范围越小,所用的电子部件越精密,相应的售价也会越高。由于电子皂膜流量计的的测量误差由设计控制,基本不受人为操作水平的影响,故在此处仅讨论传统皂膜流量计的测量体积误差。
2.2.1 标定高度读数误差
皂膜产生后在外来气流的推动作用下从下部运行到上部,我们要在皂膜的运动过程中获取皂膜的位置,这就不可避免的会产生误差。误差的大小与皂膜的运动速度以及实验者的反应速度和灵敏水平有关。一般情况下,皂膜的运动速度在4cm/s以内时,测量的长度误差小于0.05cm。因此,测量体积误差应小于0.1/ΔL,ΔL为皂膜管的标定的上下刻度线之间的差值。可见标定体积越大,所产生的误差越小。假如取标定高差为50 cm,那么产生的测量体积误差约为0.2%。
2.2.2 秒表读数误差
一般来说,秒表的操作精度可达到0.1s,结合人体的反应速度和皂膜的上升速度,秒表处的读数误差可以控制在0.1 s之内,因此,秒表读数误差可表示为τ/(ΔL/v),若ΔL取50 cm,v取4 cm/s,则误差为0.8%。
由以上分析,根据绝对误差计算方法,测量体积误差应小于1%。
3.两种流量计的比较
通过上面的分析我们可以得出传统的皂膜流量计在测量实际流量的过程中,整体的误差一般在1%以内。而通过调研,我们也发现:目前所售的普通电子皂膜流量计的测量允许误差范围也是1%。因此,两者在测量精度上相差并不是很大。
电子皂膜流量计操作简单,可以借助微计算机和传感器等装置,实现一键式流量的测量,同时避免了繁琐的手工劳动,对实验者的操作体验有了很大的提升。但是,电子皂膜流量计也有自己的缺点。例如说,对于看不到内部构造的电子皂膜流量计,我们很难判断测量结果的正确性与否,当两次测量结果出现较大的偏差时,我们也很难判断哪一次的测量结果为准确值,只能重新测量;对于一般的故障,由于电子皂膜流量计属于高精度仪器,非专业人员无法自行修理,处理起来非常麻烦。另外,对于各院校中设置的使用皂膜流量计测流量实验中,一键出结果的电子皂膜流量计不利于同学们对实验的理解和认识,很难达到实验目的。
传统的皂膜流量计价格便宜,原理明了,保养和维修简单,又有很高的测量精度,仍然受到广大使用者青睐。在使用过程中,我们可以清楚的确定数据的可用性与否,避免了测量结果出现较大偏差时对值取舍操作不当的问题。但是,传统皂膜流量计存在的突出问题有:
(1)实验过程中手掐秒表计时、挤压皂液启膜、实验数据记录等三种工作需要不断的在双手之间切换,测量过程繁琐。
(2)皂膜管长期开口,会落入许多杂质难以清洗,影响皂膜的稳定性。
(3)皂膜管口常会有很多皂膜从皂膜管壁溢出到实验台上,影响实验环境的清洁性。
4.皂膜流量计的改进
针对上面提到的皂膜流量计的各种缺点,笔者提出以下改进方案。
如图1所示的改进方案,使用方法和优势如下。
关开关A,开B,挤压踏板7,则橡胶囊8内的皂液被挤出,从喷头5喷洒到管壁上,可以实现皂膜管壁的清洗。皂膜管口处的环形海绵可以实现多余皂液的吸收,避免皂液溢出污染实验台。关开关B,开A,挤压踏板7,则储液池9内液面上升,与皂膜管下端接触,实现启膜,若踩踏踏板用脚完成,则避免了双手在手掐秒表计时、挤压皂液启膜、实验数据记录之间切换,从而提高实验效率以及操作者的舒适度,在一定程度上还能够减小实验误差。此种改良方案不仅适用于手动方案,还可以结合传感器等制成电子皂膜流量计,满足不同使用群体的需求,整体设计结构简单,思路明确,成本较低。
5.结语
该文介绍了传统皂膜流量计的主要误差来源以及误差范围,指出了传统皂膜流量计与电子皂膜流量计各自的优缺点,并提出了一种既适合于传统皂膜流量计改进,又适合电子皂膜流量计制作的改进方案,是对皂膜流量计的一种全面而简要的概括.同时,对于皂膜流量计的使用和改进提供了一种新的思路和方法,有助于皂膜流量计在新时期、新阶段继续发挥其流量测量和校准等方面的作用,满足广大使用者的使用需求。