
针对气体和蒸汽流体在流量测量中由于温度和压力的变化导致测量偏差的问题 ,需要通过对流量的测量进行温度、压力的补偿修正来保证流...

为解决科氏流量计二次仪表软件调试开发过程中与上位机的通信问题 ,设计并实现了针对科氏流量计二次仪表的串口调试系统,包括系统的...

脉动流是一种工业管流中普遍存在现象,因为往复式、可运动传送设备或者旋转式的应用,流体的流量以及控制设备在管道中呈现周期性振荡...

针对科氏流量计传感器输出信号的缓变特性,提出了基于希尔伯特(Hilbert)变换的信号处理方法。采用自适应滤波噪声抵消的方法滤除信号...

以海上浮式生产储卸油装置( FPSO) 原油外输计量系统应用为例,介绍液超声流量计的特点和在海上原油外输贸易交接计量应用中的优势。...

针对传统的超声波多普勒流量计存在的精度低、稳定度差、动态响应慢的问题,研制了一种新型的超声波多普勒流量计。硬件部分主要设计...

利用光纤布拉格光栅( fiber Bragg grating,FBG) 对应力敏感,设计了一种流量传感装置。置于流体中的靶片感受到流体的冲击力,使 FBG 发生轴向...

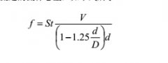
论述了涡街流量计用于蒸汽计量时选型、安装应注意的问题。对采用温度、压力补偿的方法进行了讨论。对温度、管径变化引起仪表常数变...

流量是石油化工企业监控化工装置生产过程中的一个重要参数,是保证石油化工装置高效、安全、平稳运行的重要手段。本文简述了涡街流...

为提高涡街流量计的测量性能,提出一套双通道涡街流量计信号处理方法,通过测量通道与监测通道的配合,提升低流速的测量性能,运用...